1/43
Looks like no tags are added yet.
Name | Mastery | Learn | Test | Matching | Spaced | Call with Kai |
|---|
No analytics yet
Send a link to your students to track their progress
limit
a y-value which a function approaches as x approaches some value
function value
the y-value or output of the function
continuity
where the function’s y-value matches the limit; when the left limit is equal to the right limit
discontinuities
where the limit does not exist in the function; consists of holes, vertical asymptotes, and jumps
removable discontinuities
the type of discontinuity where the function has a limit, such as holes in the graph
nonremovable discontinuities
when the limit of the function does not exist; such as jumps, vertical asymptotes, or oscillations
Greatest Integer Function
where f(x) = [x] = the greatest integer less than or equal to x
![<p>where f(x) = [x] = the greatest integer less than or equal to x</p>](https://knowt-user-attachments.s3.amazonaws.com/aacf06af-5342-450a-84b7-2c7520cdd5e6.png)
Intermediate Value Theorem
if f(x) is continuous on interval [a, b] and k is any y-value between f(a) and f(b), then there is at least one x-value c between a and b such that f( c ) = k
horizontal shift
the graphing adjustment that occurs from y = f(x ± c)
vertical shift
the graphing adjustment that occurs from y = f(x) ± d
reflection across the y-axis
the graphing adjustment that occurs from y = f(-x)
reflection across the x-axis
the graphing adjustment that occurs from y = -f(x)
vertical stretch
the graphing adjustment that occurs from y = a * f(x); where a is positive and greater than 1
vertical squeeze
the graphing adjustment that occurs from y = a * f(x); where a is positive and less than 1
horizontal squeeze
the graphing adjustment that occurs from y = f(b * x); where b is positive and greater than 1
horizontal stretch
the graphing adjustment that occurs from y = f(b * x); where b is positive and less than 1
reflection of all points below the x-axis to above
the graphing adjustment that occurs from y = | f(x) |
eliminate all points on the left of the y-axis and reflect the right to the left
the graphing adjustment that occurs from y = f( | x | )
even
the label given to vertical asymptotes / holes / x-intercepts if the sign does not change across the asymptote / hole / x-intercept and determined by the group power

odd
the label given to vertical asymptotes / holes / x-intercepts if the sign changes across the asymptote / hole / x-intercept and determined by the group power

infinite limits
the name given to limits that do not exist at a vertical asymptote
limits at infinity
the name given to limits that approach a number along a horizontal asymptote
horizontal asymptote
the feature of a graph found using end behavior or comparing the highest degree term of the numerator to the highest degree term of the denominator
vertical asymptote
the feature of a graph found by identifying the denominator restrictions left over after reducing
hole
the feature of a graph found by identifying the denominator restrictions that cancel out
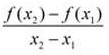
average rate of change
the slope between two points on a graph

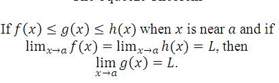
squeeze theorem

derivative
the slope of a tangent line at a given x-value
limit definition of the derivative

alternate form of the limit definition of the derivative

equation of a Tangent line

nondifferentiability
when a derivative does not exist; places where there is a hole, a jump, a vertical asymptote, a sharp turn, or a vertical tangent
velocity function
derivative of a position function or integral of an acceleration function
acceleration function
derivative of a velocity function
position function
integral of a velocity function
displacement
the net change in position (final position - original position)
total distance
the total change in position by the object in a time interval (takes into account of all direction changes by finding the zeros of the velocity function and plugging in the zeros and endpoints into the position function)
speed
the absolute value of velocity
average velocity
displacement / elapsed time
average speed
total distance / elapsed time