1/17
Looks like no tags are added yet.
Name | Mastery | Learn | Test | Matching | Spaced |
|---|
No study sessions yet.
sin²x + cos²x
1
tan²x + 1
sec²x

cot²x + 1
csc²x

cos(x+y)
cosx cosy - sinx siny

cos(x-y)
cosx cosy +sinx siny

sin(x+y)
sinx cosy + siny cosx
sin(x-y)
sinx cosy - siny cosx
tan(x+y)
tanx + tany / 1 - tanx tany

tan(x-y)
tanx - tany / 1 + tanx tany

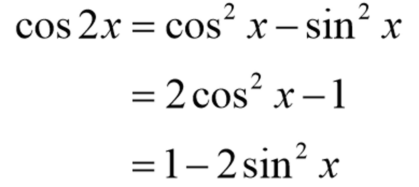
cos2x
cos²x - sin²x
2cos²x - 1
1 - 2sin²x

sin2x
2sinx cosx

tan2x
2tanx / 1 - tan²x

cos(x/2)
±√(1+cosx)/2

sin(x/2)
±√(1-cosx)/2

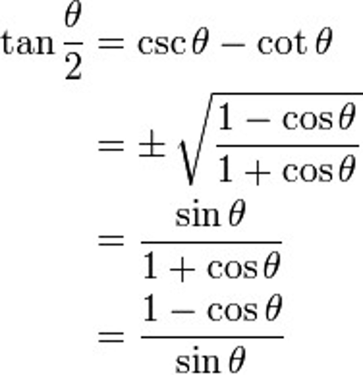
tan(x/2)
sinx / 1 + cosx
1 - cosx / sinx

cos3x
4cos³x - 3cosx
sin3x
3sinx - 4sin³x
tan3x
3tanx - tan³x / 1 - 3tan²x