Derivatives for Trig, inverse trig, and logs

0.0(0)
studied byStudied by 0 people
0.0(0)
full-widthCall Kai
learnLearn
examPractice Test
spaced repetitionSpaced Repetition
heart puzzleMatch
flashcardsFlashcards
GameKnowt Play
Card Sorting

1/11

encourage image

There's no tags or description

Looks like no tags are added yet.

Study Analytics
Name
Mastery
Learn
Test
Matching
Spaced

No study sessions yet.

12 Terms

1
New cards

Sin x

<p></p>
2
New cards

cos x

<p></p>
3
New cards

tan x

<p></p>
4
New cards

cot x

knowt flashcard image
5
New cards

sec x

knowt flashcard image
6
New cards

csc x

<p></p>
7
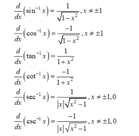
New cards

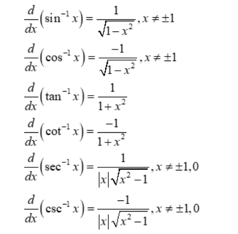
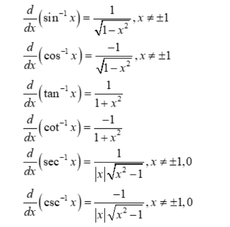
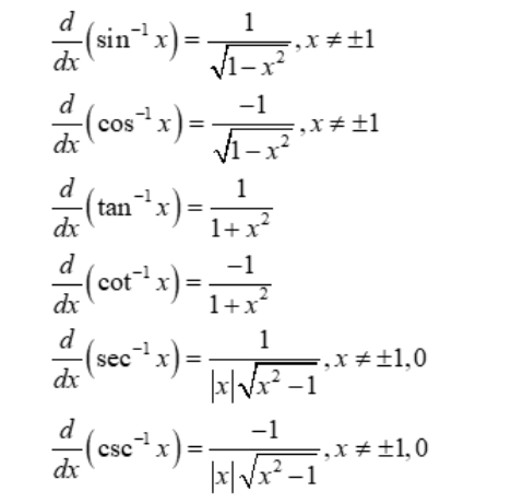
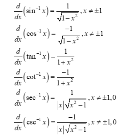
Arcsin

knowt flashcard image
8
New cards

Arccos

knowt flashcard image
9
New cards

Arctan

knowt flashcard image
10
New cards

Arccot

knowt flashcard image
11
New cards

Arcsec

knowt flashcard image
12
New cards

Arccsc

knowt flashcard image