1/27
Looks like no tags are added yet.
Name | Mastery | Learn | Test | Matching | Spaced | Call with Kai |
|---|
No analytics yet
Send a link to your students to track their progress
Horizontally Polarized Light

Vertically Polarized Light

Linear +45 degrees Polarization

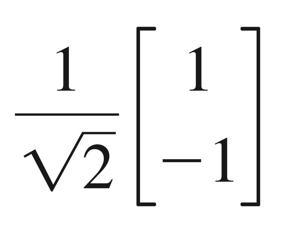
Linear -45 degrees Polarization

Right Circular Polarization

Left Circular Polarization


Horizontally Polarized Light

Vertically Polarized Light

Linear +45 degrees Polarization

Linear -45 degrees Polarization

Right Circular Polarization

Left Circular Polarization

Horizontal Linear Polarizer

Horizontal Linear Polarizer

Vertical Linear Polarizer

Vertical Linear Polarizer

+45 Linear Polarizer

+45 Linear Polarizer

-45 Linear Polarizer

-45 Linear Polarizer

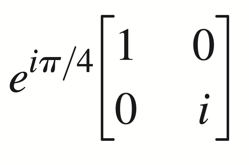
Quarter-wave plate, fast axis vertical

Quarter-wave plate, fast axis vertical

Quarter-wave plate, fast axis horizontal

Quarter-wave plate, fast axis horizontal

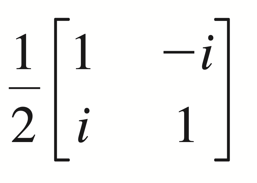
Homogeneous circular polarizer right

Homogeneous circular polarizer right

Homogeneous circular polarizer left

Homogeneous circular polarizer left
