1/107
Looks like no tags are added yet.
Name | Mastery | Learn | Test | Matching | Spaced | Call with Kai |
|---|
No analytics yet
Send a link to your students to track their progress







Progesterone

Testosterone

Estradiol

Cortisol

Cholic Acid (Bile)

Ceragenin (antimicrobial + Paul Savage)
Purines (5+6)
Nucleobases: Adenine, Guanine

Adenine (A)


Guanine (A)

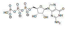
Pyrmidine (6)
Uracil (RNA), Thymine (DNA), Cytosine

Uracil (U: RNA)

Thymine (T: DNA)

Cytosine (C)

2 H-Bonds

3 H-Bonds




Nucleobases
A G: Purines; U T C: Pyrimidines
Nucleosides
Base + Sugar (No Phosphate)


Without
“Sin”, “Sem”

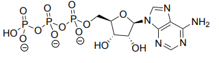
Adenosine -5’- monophosphate (AMP)

Phosphoanhydride (level 1) - ADP

Phosphoanhydride (Level 1)- ATP







Glycerol
Dihydroxyacetone phosphate, –1 ATP, 1 NADH
dihydroxyacetone phosphate glycolysis>
pyruvate, 2 ATP, 1 NADH
pyruvate pyruvate dehydrogenase complex>
acetyl CoA, 1 NADH, 1 CO2
acetyl CoA citric acid cycle>
3 NADH, 1 FADH2, 1 GTP, 2 CO2
glycerol
3 CO2, 1 ATP, 6 NADH, 1 FADH2, 1 GTP (1 NADH = 2.5 ATP, 1 FADH2 = 1.5 ATP, 1 GTP = 1 ATP)
Glycerol ATP Total?
18.5 ATP

Fatty Acid Activation


Beta Oxidation (1/4)


Beta Oxidation (2/4)


Beta Oxidation (3/4)


Beta Oxidation (4/4)


Triglyceride ATP
45 - CO2,
18.5 ATP from glycerol,
92 ATP from each of three 14 C fatty acids
294.5 ATP total
Fatty acyl CoA
Truncated fatty acyl CoA (–2C), acetyl CoA , 1 x NADH, 1 x FADH2
total rounds of β-oxidation
(# C in fatty acid / 2) – 1
in the last round, the truncated fatty acyl CoA
acetyl CoA
14 C fatty acyl CoA would go through
6 rounds of β-oxidation
Fatty acid carboxylate (14 C) long-chain fatty acyl-CoA synthetase>
Fatty acyl CoA (14 C), –2 ATP
Fatty acyl CoA (14 C) Beta-Oxidation>
7 acetyl CoA , 6 NADH, 6 FADH2
7 acetyl CoA citric acid cycle>
21 NADH, 7 FADH2, 7 GTP, 14 CO2
Fatty acid carboxylate (14 C)
14 x CO2,
–2 x ATP,
27 x NADH,
13 FADH2,
7 x GTP
(1 NADH = 2.5 ATP, 1 FADH2 = 1.5 ATP, 1 GTP = 1 ATP)
92 ATP total

ATP

NADH
glucose glycolysis>
2 x ATP, 2 x NADH, and 2 x pyruvate
2 x pyruvate pyruvate dehydrogenase complex>
2 x CO2, 2 x NADH, 2 x acetyl CoA















Enolase>






Thiamine Pyrophosphate

Lipoamide
Citric Acid Cycle: START- 2 x acetyl CoA
4 CO2, 6 NADH, 2 FADH2, 2 GTP, 2 CoA-SH

NAD+

FAD

GDP

NADH

FADH2

GTP





NAD+ —> NADH, —→ CO2












OR






Complex One


Complex One Stats:
2 e- delivered by NADH
one CoQH2 formed
4 H+ translocated

Succinate
FumarateComple


Complex Three
Two e- from QH2 are passed one-by-one to cytochrome C and recycled to increase the proton gradient
Complex Four


FOFI ATP SYNTHASE

F1 Portion Conformations
Open- Release ATP
Loose- binds ADP, Pi
Tight: Make ATP



