1/5
Looks like no tags are added yet.
Name | Mastery | Learn | Test | Matching | Spaced | Call with Kai |
|---|
No analytics yet
Send a link to your students to track their progress
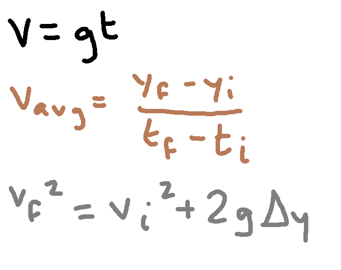
all formulas for displacement

all formulas for velocity

weight

gravity

net force

equivalencies in forces
