2.2 Biological Molecules

0.0(0)
studied byStudied by 0 people
full-widthCall with Kai
GameKnowt Play
learnLearn
examPractice Test
spaced repetitionSpaced Repetition
heart puzzleMatch
flashcardsFlashcards
Card Sorting

1/81

encourage image

There's no tags or description

Looks like no tags are added yet.

Study Analytics
Name
Mastery
Learn
Test
Matching
Spaced

No study sessions yet.

82 Terms

1
New cards

why is water a good solvent?

because it is polar

2
New cards

explain the polarity of water

delta positive H atom

delta negative O atom

they can form hydrogen bonds with other water molecules

3
New cards

high specific heat capacity

hydrogen bonds mean water molecules are able to absorb a lot of energy, so a lot is overcome bonds between the molecules

4
New cards

why does high specific heat capacity make water useful?

it is a good habitat:

water doesn't experience rapid temperature changes

temperature is likely to be more stable than on land

5
New cards

high latent heat of evaporation

a lot of energy is needed to overcome hydrogen bonds and evaporate water

6
New cards

why does high latent heat of evaporation make water useful?

water can be used as a coolant when we overheat

sweating removes energy from the body and cools the skin surface down

7
New cards

water very cohesive

water is very cohesive, flows easily and great for transporting water up plant stems

8
New cards

cohesion

attraction between molecules of same type

9
New cards

lower density when solid

water freezes + becomes solid

H2O molecules held further apart in ice than liquid (lattice shape)

ice is less dense than water

10
New cards

why is lower density when solid useful?

ice is less dense than water, so it floats to the surface and forms an insulating layer over water, preventing water below it freezing

aquatic animals do not freeze

11
New cards

water - good solvent

ionic substances can be dissolved in solution

polar ends of water molecule attracted to ions + surround ions

12
New cards

why is being a good solvent important for water?

allows important ions to dissolve in the blood and transport around body

13
New cards

surface is habitat for small invertebrates

due to surface tension

small invertebrates can live on surface of water

14
New cards

condensation reaction

any reaction joining 2 molecules, forming a bond and forming a water molecule

15
New cards

hydrolysis reaction

reaction breaking a chemical bond between 2 molecules, using a water molecule

16
New cards

name 3 common sugar monomers

glucose

galactose

fructose

17
New cards

what do monosaccharides make up?

larger carbohydrates/polymers

18
New cards

2 isomers of glucose

alpha and beta

ABBA

19
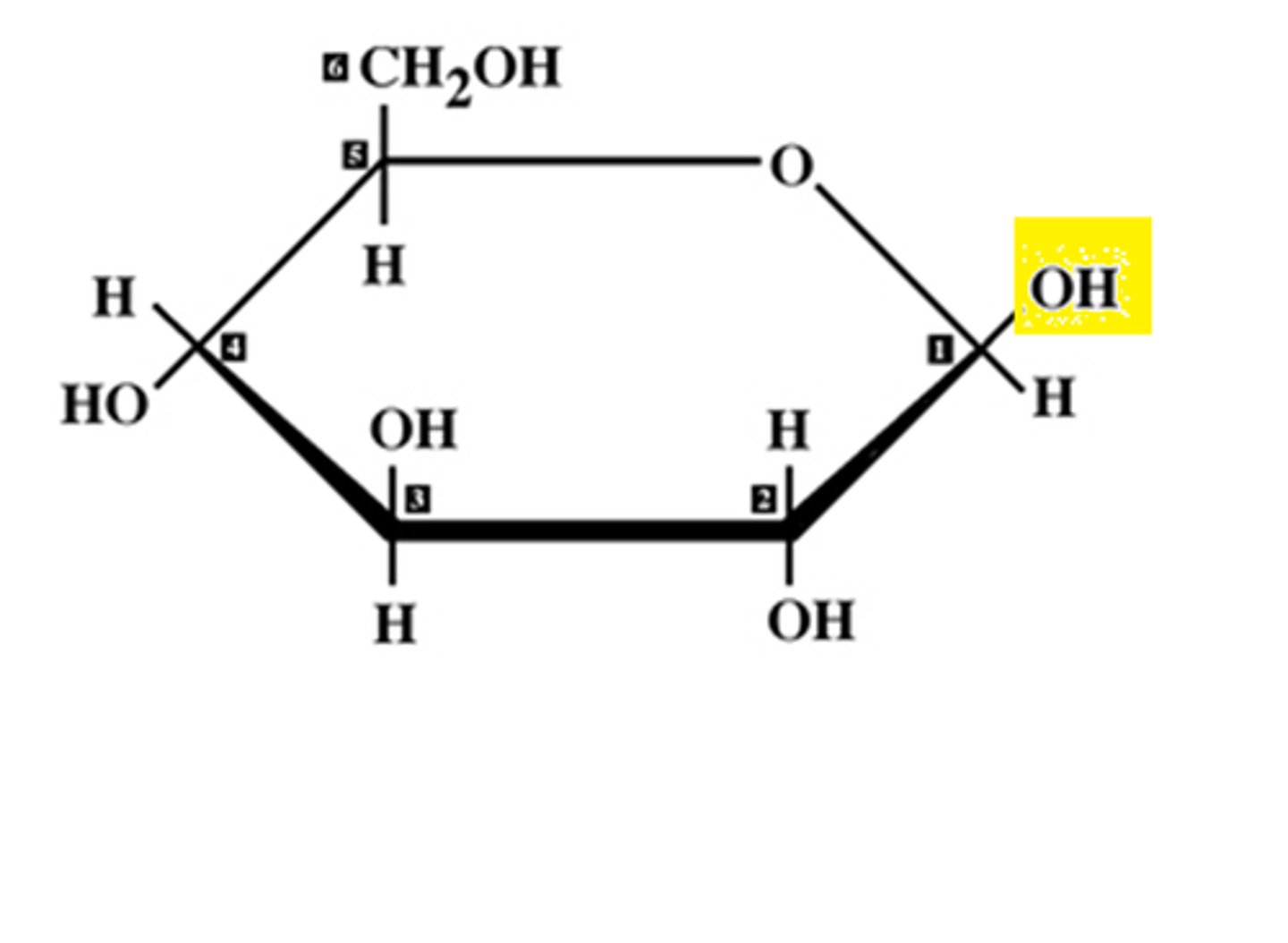
New cards

alpha-glucose

OH below

<p>OH below</p>
20
New cards

beta-glucose

OH above

<p>OH above</p>
21
New cards

what bond is formed + what is released during a condensation reaction?

glycosidic bond

strong bond

release of H2O molecule

22
New cards

what are 2 bonded monosaccharides called?

disaccharides

23
New cards

name 3 common disaccharides

maltose

sucrose

lactose

24
New cards

maltose

glucose + glucose

beer brewing

<p>glucose + glucose</p><p>beer brewing</p>
25
New cards

sucrose

glucose + fructose

common in plants, main transport of sugar

<p>glucose + fructose</p><p>common in plants, main transport of sugar</p>
26
New cards

lactose

galactose + glucose

found is mammalian milk

<p>galactose + glucose</p><p>found is mammalian milk</p>
27
New cards

3 elements in carbohydrates

C, H, O

28
New cards

properties of starch

insoluble in water

2 forms - amylose/amylopectin

main energy storage in plants + in food

when broken down = releases glucose for respiration

29
New cards

amylose

unbranched chain of alpha-glucose

helical

compact + helical is good for storage (a lot of glucose)

1,4 glycosidic bonds

<p>unbranched chain of alpha-glucose</p><p>helical</p><p>compact + helical is good for storage (a lot of glucose)</p><p>1,4 glycosidic bonds</p>
30
New cards

amylopectin

branched chain of alpha-glucose

exposed branches

branches make it easier to release glucose = quickly releases energy for respiration

1-4, 1-6 glycosidic bonds

<p>branched chain of alpha-glucose</p><p>exposed branches</p><p>branches make it easier to release glucose = quickly releases energy for respiration</p><p>1-4, 1-6 glycosidic bonds</p>
31
New cards

glycogen

animal-found polysaccharide of alpha-glucose

stored in liver + muscles

insoluble in water

broken into glucose in liver, releases into blood

many branches = easy access for enzymes

branches = compact

32
New cards

cellulose

unbranched chains of beta-glucose

regular, straight chain

cellulose fibres (microfibrils) are strong, due to hydrogen bonds between chains

cellulose = strength + great structural support

33
New cards

structure of a phospholipid

hydrophilic head (phosphate group)

hydrophobic tail

(2 fatty acid tails)

head + tail are joined by glycerol molecule

34
New cards

polarity of phospholipids

hydrophilic heads attach to H2O molecules

outside bilayer

hydrophobic tails not attracted to H2O molecules

inside bilayer

35
New cards

what is the phospholipid bilayer?

cell membrane

centre of bilayer = hydrophobic (water-soluble substances cannot easily pass)

barrier to water-soluble substances

36
New cards

triglycerides

1 glycerol molecule

ester covalent bond to 3 fatty acids

condensation between acid group of fatty acid + 1 hydroxyl OH groups (of glycerol molecules)

37
New cards

functions of lipids in organisms

source of energy (respiration = energy)

energy storage (adipose cells)

membranes (phospholipid bilayer)

insulation (visceral fat)

protection (waxy surface of plant = won't dry out)

hormones (e.g. steroid hormones)

38
New cards

saturated lipid

only single C bonds

straight chain

more H atoms

solid at room temp

higher melting point

animal lipid

39
New cards

unsaturated lipid

at least 1 double C=C bond

not straight (contains a kink due to C=C bond)

less H atoms

liquid at room temp

lower melting point

plant lipid

40
New cards

primary structure

amino acid sequence, held together by peptide bonds

41
New cards

secondary structure

hydrogen bonds between amino acid groups

H bonds cause polypeptide to twist + forms alpha-helix coil OR beta-pleated sheet

42
New cards

tertiary structure

interactions between R groups = form disulfide bonds

ionic bonds between R groups

hydrogen bonds between some R groups

hydrophobic R groups clump together (hydrophilic R groups left on outside) - affects folding of protein

hormones must fit receptors

enzymes must have complementary active site

-------

3D shape of protein

Coiling in secondary structure brings R groups together so they interact

Globular or fibrous

43
New cards

quaternary structure

2+ polypeptides bound together (final protein - e.g. haemoglobin/collagen)

44
New cards

solubility of globular proteins + 3 examples

soluble in water

haemoglobin

amylase

insulin

45
New cards

solubility of fibrous proteins + 3 examples

insoluble in water

collagen

keratin

elastin

46
New cards

haemoglobin

globular protein

carries O2 around blood in RBCS

conjugated protein - protein attached to prosthetic group (non-protein)

each of 4 polypeptide chains = has a prosthetic group

haem group - contains iron (O2 binds to Fe)

47
New cards

which protein type are most enzymes?

globular

48
New cards

amylase

globular

enzyme catalysing reaction break down of starch into glucose in digestion

single chain of amino acids

secondary structure: contains BOTH alpha helix and beta pleated sheet sections

49
New cards

insulin

globular

hormone secreted by pancreas (regulates blood glucose levels, by changing solubility)

can be transported in blood to tissues needing it

2 polypeptide chains held by disulfide bonds

multiple molecules bond = form large structure

50
New cards

collagen

fibrous

found in animal connective tissue (bone, skin, muscle)

very strong molecule

minerals can bind to it = high rigidity

51
New cards

keratin

fibrous

found in external animal structures (skin, hair, feathers, horns)

can be very flexible or hard/tough

52
New cards

elastin

fibrous

found in elastic connective tissue (skin, large blood vessels, some ligaments)

elastic = allows tissues to return to original shape after stretching

53
New cards

calcium

Ca 2+

nerve impulse transmission

muscle contraction

54
New cards

sodium

Na +

nerve impulse transmission

kidney function

55
New cards

potassium

K +

nerve impulse transmission

stomatal opening

activates enzymes for photosynthesis

56
New cards

hydrogen

H +

catalysing reactions (e.g. respiration, photosynthesis)

pH determination

57
New cards

ammonium

NH4 +1

production of nitrate ions by bacteria

58
New cards

nitrate

NO3 -

nitrogen supply to plants

for amino acid + protein formation

59
New cards

chloride

Cl -

balance positive charge of Na + K ions in cells

60
New cards

phosphate

PO4 3-

cell membrane formation

nucleic acid + ATP formation

bone formation

61
New cards

hydroxide

OH -

catalysis of reactions

pH determination

62
New cards

glucose

monosaccharide

main sugar used in respiration

absorbed and transported in bloodstream to cells

<p>monosaccharide</p><p>main sugar used in respiration</p><p>absorbed and transported in bloodstream to cells</p>
63
New cards

polymers of glucose

polymers: starch, glycogen, cellulose, starch

64
New cards

galactose

monosaccharide

mainly in our diets as lactose disaccharide

65
New cards

fructose

monosaccharide

sugar naturally found in fruit, honey, vegetables

<p>monosaccharide</p><p>sugar naturally found in fruit, honey, vegetables</p>
66
New cards

condensation

a reaction joining 2 molecules together, where water molecule is released as a byproduct, as they react

water molecule is formed by loss of H atom from one molecule and loss of OH hydroxyl group from other molecule = water H2O

67
New cards

hydrolysis

the chemical breakdown of a compound due to the addition of water

this occurs during digestion

68
New cards

3 elements found in carbohydrates

carbon, hydrogen, oxygen

usually ratio of C : 2H : O

69
New cards

xylem vessel

one-way transport of water + minerals in plants

no end walls between cells, long and hollow continuous tube

thick walls, stuffed with lignin (dead cells)

70
New cards

phloem vessel

two-way flow of transport of water + food

cells have end walls with perforations (alive cells)

71
New cards

what is sucrose used for in plants?

as a transport medium, for sugar in plants

72
New cards

what is glucose used for in plants?

aerobic respiration, at the mitochondria

73
New cards

how is glucose stored in plant cells?

stored as cellulose, in cell walls

74
New cards

name 3 monosaccharides

glucose, galactose, fructose

75
New cards

draw a beta glucose structure

image

<p>image</p>
76
New cards

draw an alpha glucose structure

image

<p>image</p>
77
New cards

what are the monosaccharides for lactose?

galactose + glucose

<p>galactose + glucose</p>
78
New cards

what are the monosaccharides for maltose?

glucose + glucose

<p>glucose + glucose</p>
79
New cards

what are the monosaccharides for sucrose?

fructose + glucose

<p>fructose + glucose</p>
80
New cards

aerobic respiration equation

glucose + oxygen > carbon dioxide + water + ATP

C6H12O6 + 6 O2 > 6 CO2 + 6 H2) + ATP

81
New cards

calculating Rf value

distance travelled by sample/distance travelled by solvent

<p>distance travelled by sample/distance travelled by solvent</p>
82
New cards

chromatography steps

1) draw pencil line near bottom of chroma. paper

2) place concentrated spot of amino acid mixture onto line

3) roll up paper into cylinder

4) stand up cylinder in the beaker containing solvent

5) cover beaker with lid, to prevent evaporation

6) when solvent reaches the top of the paper

7) remove it from beaker

leave paper to dry

spray with ninhydrin solution

amino acids = purple

8) calculate Rf value of amino acid

Explore top flashcards