1/128
Looks like no tags are added yet.
Name | Mastery | Learn | Test | Matching | Spaced | Call with Kai |
|---|
No analytics yet
Send a link to your students to track their progress
A previous study of cancellous bone involved compression tests on cubic specimens (8 mm x 8mm x 8mm) and the elastic (Young’s) modulus was found to be 1200 MPa. If you were to repeat this experiment using specimens of the same size, how much force would you predict is needed to compress the sample by 1.5%?
E = stress/strain = (F/A)/(-0.015)
1200 N/mm² = (F/64mm²)/(-0.015)
F = -1152 N
Based on a literature review, you expect the shear modulus of Achilles tendon will be 96 kPa. You are going to conduct shear testing on tendon samples of uniform 5mm thickness as shown. For an applied shear stress of 4.32 kPa, calculate the expected displacement, delta x.
G = tau/gamma
96 kPa = 4.32kPa/gamma
gamma = 0.045
gamma = delta x / t
0.045 = delta x / 5mm
delta x = 0.225 mm
If the bulk modulus of articular cartilage is 20 MPa, how much pressure (psi) would be required to shrink its volume by 25%? 1 MPa = 145 psi
B = -deltaP/(delta V/ Vi)
20 MPa = -delta P/(-0.25)
delta P = 5 MPa = 725 psi

Assuming the microstructure of cortical bone shown in the figure (d), what is the simplest constitutive model that would accurately describe its mechanical behavior?
a. Isotropic
b. Transversely isotropic
c. Orthotropic
d. Fully anisotropic
b. Transversely isotropic

Below are stress-strain curves for PEEK and Tullomer, established and prospective thermoplastic implant materials, respectively. Provide and approximate value for each of the following including units:
a. Elastic limit of Tullomer
b. Young’s modulus of Tullomer
c. Ultimate tensile stress of PEEK
d. 4% offset yield strength of PEEK
e. Toughness of Tullomer (N-mm/mm³)
f. Residual strain if PEEK is unloaded from point A
a. end of linear region, ~200 MPa
b. pick two points and do: (stress2-stress1)/(strain2-strain1) → (170-95)/(0.162-0.1) = 75MPa/0.062 = 1210 MPa
c. highest y (stress) value on curve → ~85 MPa
d. 4% - 0.004 strain. Go to 0.004 on X axis, draw a parallel line to the curve until you hit a Y value, that is the strength → 75 MPa
e. entire area under the curve = 1/2(0.2×205) + (0.066×200) = 33.7
f. go to point A. Make a parallel line to the curve until you hit the X axis and read the X value. → ~0.1 or 10%
Materials A and B were tested to failure in uniaxial tension. Sketch theoretical stress-strain curves for A and B such that
Young’s modulus of A> Young’s modulus of B
Ultimate tensile stress A < Ultimate tensile stress of B
Material A undergoes much less post-yield (plastic) deformation than B
A has a more linear region for a higher Youngs
A has a wont go as high as B, making its UTS smaller than B
A has a smaller Nonlinear region, (less curve after linear region) than B


True or False: Is it possible for the maximum tensile stress produced by force F on cross-section xx to be greater than the maximum compressive stress
False
Assuming F acts downward and theta > 0
You are creating a finite element model of bone, which has perpendicular planes of symmetry. A literature review convinces you that its properties are significantly different in the axial, tangential, and radial directions. Thus, you recognize cortical bone as a ___________ material
a. isotropic
b. transversely isotropic
c. orthotropic
c. orthotropic
You have been assigned the task of making a mechanical testing fixture that will cause bone to fracture at its weakest location due to normal loads (i.e. tension). Choose between 3-point bending and 4-point bending and justify your choice
4 point bending
Will cause failure at the weakest location, which could be anywhere between the loading noses
Bending moment is constant throughout the area between the prongs, causing it to fail at its weakest point

You are designing a ski binding that releases the boot when a desired torque is applied. You fix a cylindrical “bone” in a ski boot and apply torque, T, using the handle, as shown. The “bone” has a shear modulus of 3 GPa. It has outer diameter D = 4 cm and inner diameter d = 2cm. The length of the bone is 1 m.
a. Bone will break if the shear reaches 20 MPa, and the binding should release at 50% of that value. Determine the torque at which the binding should release the boot
b. Determine the maximum angle of twist when this shear stress is reached
tau = Mr/J
J = pi/32(0.04m^4 - 0.02m^4) = 2.356×10^-7 m^4
Tau = 20 MPa * 50% = 10MPa
10×10^6 = M (0.02)/(2.35610^-7)
M = 117.8 N-m
theta = ML/GJ
(117.8×1)/(3×10^9 × 2.356×10^-7)
Theta = 0.167 rad or 9.55 degrees

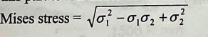
The tensile yield stress of a material is 150 MP a. At a point on the surface of an implant made from that material, the normal stresses are estimated sigma x = 100 and sigma y = 50 MPa. Shear stress is unknown. According to the maximum principal stress failure theory, what is the highest shear stress in the unrotated coordinate system (tau xy) could be tolerated before failure?
using the formula here: 150 = (100+50)/2 + sqrt[(100-50/2)² + tau xy²]
75² = 625 + tau xy²
5000 = tau xy²
tau xy = 70.7 MPa
![<p>using the formula here: 150 = (100+50)/2 + sqrt[(100-50/2)² + tau xy²]</p><ul><li><p>75² = 625 + tau xy²</p></li><li><p>5000 = tau xy²</p></li><li><p><mark data-color="yellow" style="background-color: yellow; color: inherit;">tau xy = 70.7 MPa</mark></p></li></ul><p></p>](https://knowt-user-attachments.s3.amazonaws.com/96a73e4d-5387-4317-aa45-1ac8c2bb9967.png)
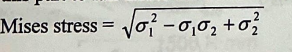
![<p>The yield strength of a material in a simple tension test is 80 MPa. A finite element model of an implant made from this material predicts that the maximum principal stresses to which it will be subjected are [sigma 1 = 75 MPa, sigma 2 = -7.5 MPa]. Would you expect this part to fail under this load according to the maximum distortion energy theory? </p>](https://knowt-user-attachments.s3.amazonaws.com/c79ce90b-f4d9-4144-b867-277e2263af7a.png)
The yield strength of a material in a simple tension test is 80 MPa. A finite element model of an implant made from this material predicts that the maximum principal stresses to which it will be subjected are [sigma 1 = 75 MPa, sigma 2 = -7.5 MPa]. Would you expect this part to fail under this load according to the maximum distortion energy theory?
Failure criteria: sigma vm > or = sigma yield
sigma vm = sqrt(75² - (75)(-7.5) + (-7.5)²)
sigma vm = 79
79 < 80
Part will NOT fail

The yield strength of a material in a simple tension test is 80 MPa. A finite element model of an implant made from this material predicts that the maximum principal stresses to which it will be subjected are [sigma 1 = 75 MPa, sigma 2 = -7.5 MPa]. Would you expect this part to fail under this load according to the maximum shear stress failure criterion?
Failure criterion: tau max > or = sigma yield / 2
tau max = sigma 1 - sigma 2/2 = 75-(-7.5)/2
tau max = 41.25
sigma yield/2 = 80/2 = 40
41.25 > 40
Part WILL fail
Define “endurance limit” with respect to a material’s resistance to fatigue failure. Draw and label a graph that displays endurance limit in the total life philosophy of fatigue testing
Endurance limit is a stress level below which the material does not fail and can be cycled infinitely


The specimen below is loaded in uniaxial tension. Draw a stress element for the point indicated by the asterisk and use it to demonstrate, mathematically that the maximum shear stress at this point is ½ of the applied normal stress.
tau max = sqrt[(sigma x - sigma y / 2)² + tau xy²
sigma y and tau xy = 0
tau max = sqrt[(sigma x/2)²]
So, tau max = sigma x / 2
![<p>tau max = sqrt[(sigma x - sigma y / 2)² + tau xy²</p><ul><li><p>sigma y and tau xy = 0</p></li><li><p>tau max = sqrt[(sigma x/2)²]</p></li></ul><p>So, tau max = sigma x / 2</p>](https://knowt-user-attachments.s3.amazonaws.com/1acb30c4-a3f7-4e5e-8fbe-961ff660a363.png)

For the stress element shown below, accurately calculate the principal stresses, maximum shear stress, and the principal direction
sigma 1, 2 = -60+5/2 + or - sqrt[(-60-5/2)² + (-30)²]
sigma 1, 2 = -27.5 + or - 44.3 MPa
tau max = 44.3 MPa
sigma 1 = -71.7 MPa
sigma 2 = 16.7 MPa
tan 2thetap = 2tau xy/(sigma x - sigma y)
tan 2thetap = 2(-30)/(-60-5)
thetap = 21.35 degrees
![<p>sigma 1, 2 = -60+5/2 + or - sqrt[(-60-5/2)² + (-30)²]</p><p>sigma 1, 2 = -27.5 + or - 44.3 MPa</p><p><mark data-color="yellow" style="background-color: yellow; color: inherit;">tau max = 44.3 MPa</mark></p><p><mark data-color="yellow" style="background-color: yellow; color: inherit;">sigma 1 = -71.7 MPa</mark></p><p><mark data-color="yellow" style="background-color: yellow; color: inherit;">sigma 2 = 16.7 MPa</mark></p><p>tan 2thetap = 2tau xy/(sigma x - sigma y)</p><p>tan 2thetap = 2(-30)/(-60-5)</p><p><mark data-color="yellow" style="background-color: yellow; color: inherit;">thetap = 21.35 degrees </mark></p>](https://knowt-user-attachments.s3.amazonaws.com/bf5446af-0092-45e9-875c-dae9c9a6e090.png)

A solid cylindrical shaft with a radius of 5 mm is subjected to an axial force F = 300 N and a torque T = 1500 N*mm. For the point indicated in the sketch below, calculate the normal stress (sigma x) produced by F and the shear stress (tau xy) produced by T. Then calculate the principal stresses and principal direction theta p.
J = pi*r^4 → J = pi*5^4/2 = 981.75 mm^4
A = pi*r² → A = pi*(5²) = 78.54 mm²
normal stress = F/A = 3000N/78.54mm² → sigma x = 3.82 MPa
shear stress = tau xy = Mr/J = 1500(5)/(981.75) → tau xy = 7.64 MPa
sigma 1, 2 = 3.82/2 + or - sqrt[(3.82/2)² + 7.64²]
sigma 1,2 = 9.785, -5.965 MPa
tan 2thetap = 2tauxy/(sigma x - sigma y)
tan 2thetap = 2(7.64)/3.82
theta p = 37.98 degrees
What is the central assumption of the damage tolerant fatigue design philosophy?
Assumes all as-manufactured devices initially have some flaws present, even microscopically
Regarding the total life fatigue philosophy, describe the testing that must be conducted to create and S-N curve
Testing is performed at constant mean stress with varying stress amplitude. Each sample is tested at a particular stress amplitude until failure, resulting in one point on the S-N curve ( sigma amplitude vs cycles to failure). Many samples must be tested to failure to construct the S-N curve. Therefore the process is quite time-consuming.
Which of the following is a characteristic of fatigue failures of metal implants?
a. Considerable plastic deformation (e.g. necking)
b. Spiral fracture
c. Pitting of the surface
d. Occurs in a manner that is similar to static failure of a brittle material
d. Occurs in a manner that is similar to static failure of a brittle material
With respect to design of a fatigue-resistant medical device, shade the “safe zone” (where material is resistant to fatigue failure) in the graph below, which displays the result of fatigue testing under the damage tolerant philosophy. Why would the device be resistant to fatigue failure in this zone?
The safe zone is delta K < delta K th
If the stress intensity range is below delta K th, then cracks are dormant and will not grow. Thus, the device would be resistant to fatigue failure

The mechanical properties of a whole human femur are dominated by _________ bone.
a. Cortical
b. Cancellous
a. Cortical bone
The mechanical properties of a whole human vertebra are dictated by _______________ bone.
a. Cortical
b. Cancellous
b. Cancellous
Given their location in the proximal tibia, these fracture fixation screws are likely to be ___________ bone screws
a. Cortical
b. Cancellous
b. Cancellous
The types of bone loss which occur in early and late osteoporosis are mainly _______________ respectively.
a. Cortical and cancellous
b. Cancellous and cortical
b. Cancellous and cortical
A sample of dried bone weighs 300 grams. Which of the following is the best estimate of the bone’s original composition?
a. 75 g water, 150 g mineral, 150 g collagen, 25 g GAG and other non-collagenous proteins
b. 200 g water, 100 g mineral, 50 g collagen, 50 g GAG and other non-collagenous proteins
c. 100 g water, 210 g mineral, 75 g collagen, 15 g GAG and other non-collagenous proteins
d. 50 g water, 250 g mineral, 95 g collagen, 5 g GAG and other non-collagenous proteins
c. 100 g water, 210 g mineral, 75 g collagen, 15 g GAG and other non-collagenous proteins
(whichever of the dry components adds to 300)

Based on the femoral cortical bone microarchitecture at right, the section was cut roughly parallel to which plane?
a. Sagittal
b. Frontal
c. Transverse
c. Transverse
The dashed circle in the cross section through the bone shown the previous question outlines the boundary of a _____________, the basic structural unit of cortical bone.
a. Lamella
b. Osteocyte
c. Cement line
d. Osteon
d. Osteon
The boundary of an osteon is a ___________, which separates the basic structural unit from surrounding interstitial bone matrix.
a. Lamella
b. Osteocyte
c. Cement line
d. Osteon
c. Cement line

In this diagram of compact bone from a transverse section of a typical long bone’s cortex, the missing label is for ___________, which are small channels that radiate from the lacunae to the Haversian canal to provide passageways through the hard matrix.
a. Volkmann’s canals
b. Canaliculi
c. Cement lines
d. Haversian canals
b. Canaliculi
Osteocyte lacunae are situated between ___________.
a. Cement lines
b. Osteons
c. Interstitial bone
d. Lamellae
d. Lamellae

What current concept of bone mechanobiology is illustrated by the diagram below? Ignore what might appear to be a fracture in panel A
(A) is a coronal micro-computed tomographic section through a human proximal femur illustrating the architecture of cancellous bone. (B) is a typical loading regime experienced by the proximal femur during locomotion. (C) displays principal stress trajectories resulting from the loading regime in B.
a. An equilibrium range (“dead zone”) of strains exists in which no adaptive response is elicited
b. Trabeculae align with (continuum) principal stress directions
c. Disuse increases endosteal bone resorption and intracortical porosity in the mature skeleton
d. Dynamic loading elicits a response but static loading does not
b. Trabeculae align with (continuum) principal stress directions
True or False: The mineral phase provides bone with a substantial portion of its strength and rigidity, while the organic phase imparts toughness and flexibility
True
If the measured compressive strength of a vertebra is 21 MPa, the best estimate of its shear strength would be
a. 71 MPa
b. 21 MPa
c. 10.5 MPa
d. 7 MPa
d. 7 MPa
shear strength of bone is 1/3 of compressive strength
sigma tau = 1/3 sigma C

Which of the diagrams below best illustrates the anisotropy of cortical bone?
b.

Bone is viscoelastic, and its __________ increases with increasing rate of load application.
a. Strength
b. Stiffness
c. a and b
d. none of the above
c. a and b
Strength and stiffness

The empirical relationship below describes how bone density, rho, and strain rate, epsilon, affect its stiffness, Elongitudinal. According to this relationship, how would a 25% reduction in bone density affect its modulus under the same strain rate (i.e., find the percent change in modulus)
a. 6% reduction
b. 25% reduction
c. 58% reduction
d. 75% reduction
c. 58% reduction
((1-0.25)³-1³)/1 = -58%
__________ are responsible for building new bone.
a. Osteoblasts
b. Osteoclasts
c. Osteocytes
a. Osteoblasts
_______________ are specialized cells that resorb bone.
a. Osteoblasts
b. Osteoclasts
c. Osteocytes
b. Osteoclasts
____________ lie within mineralized bone and are thought to be part of the cellular feed-back mechanism which directs bone to form in the places where it is most needed.
a. Osteoblasts
b. Osteoclasts
c. Osteocytes
c. Osteocytes
The fracture pattern for bone loaded in torsion suggests that the bone fails first in __________, with the formation of an initial crack parallel to the neutral axis of the bone. A second crack usually forms along the plane of maximal _________ stress, resulting in a spiral fracture.
a. Tension, shear
b. Shear, tensile
c. Tension, compressive
d. Shear, compressive
b. Shear, tensile

In cortical bone, the tensile failure mechanism has been shown to be mainly one of debonding at _______ and pulling out of _____________ as illustrated here.
a. Cement lines, osteons
b. Lacunae, lamellae
c. Volkmann’s canals, lacunae
d. Canaliculi, teeth
a. Cement lines, osteons
The S/N curves below are for human bone loaded in compression (C), tension (T), and shear (S). From these curves, we can infer that
a. Bone is strongest in compression, less strong in tension, and weakest in shear (if curves are extrapolated to 10^0 or 1 cycle).
b. A bone repetitively loaded to 80 MPa in tension is unlikely to survive 10^5 cycles before failing
c. Bone is more susceptible to fatiguing in compression than in shear
d. All of the above
d. All of the above
Bone is strongest in compression, less strong in tension, and weakest in shear (if curves are extrapolated to 10^0 or 1 cycle), A bone repetitively loaded to 80 MPa in tension is unlikely to survive 10^5 cycles before failing, Bone is more susceptible to fatiguing in compression than in shear
Currently, any and all adaptations by bone in response to any and all mechanical stimuli are commonly cited as examples of _____________ law.
a. Elder’s
b. Wolff’s
c. Frost’s
d. Wiffle’s
e. Roux’s
b. Wolff’s

According to Carter’s mechanobiological theory of skeletal tissue differentiation, a low fluid pressure and tensile strain environment (*) promotes __________ formation
a. Bone
b. Fibrocartilage
c. fibrous tissue
a. Bone
Which of the following is not a current concept in bone mechanobiology?
a. Any strain level will elicit an adaptive response
b. An equilibrium range (“dead zone”) of strains exists in which no adaptive response is elicited
c. trabeculae align with (continuum) principal stress directions
d. disuse increases endosteal bone resorption and intracortical porosity in the mature skeleton
e. substantial overloads activate woven bone modeling on periosteal surfaces
a. Any strain level will elicit an adaptive response
Bone is deposited and resorbed to achieve an optimum balance between strength and _________ because bone tissue is metabolically expensive
a. Shape
b. Weight
c. Flexibility
d. Fatigue resistance
b. Weight
True or False: Finite element modeling can be combines with principles of mechanobiology to investigate the effects of various implant geometries on bone stresses under simulated physiological loading. For example, it can be combined with a mathematical bone remodeling rule to predict the time to bone screw loosening.
True

Compact bone is a viscoelastic material and the plot below shows the results of oscillatory testing at various frequencies. Based on this observed behavior, which of the following is the most logical hypothesis?
a. For high rate impacts, bone becomes a better dampener and its loss modulus increases.
b. For fast impact, like jumping, bone becomes stiffer (has increased storage modulus) to absorb more energy
c. Rate of the loading has no effect on the bone’s ration of loss to storage modulus
b. For fast impact, like jumping, bone becomes stiffer (has increased storage modulus) to absorb more energy
Which of the following is not a mechanism by which osteocytes and/or osteoblasts are able to transduce a biophysical stimulus (i.e. mechanisms by which a biochemical signal is generated in response to the bending of a bone).
a. Cilia
b. Mitochondria
c. Stretch-activated membrane channels
d. integrins
b. Mitochondria
True or False: The amount of bone mass gained (anabolic effect) from starting a powerlifting regimen is proportional to the number of repetitions up to 100 reps per day (i.e. 1000 reps>500 reps>100 reps with respect to rate/amount of bone gain)
False
In articular cartilage, proteoglycan concentration ______ with depth from the articular surface to subchondral bone.
a. increases
b. decreases
c. does not change
a. increases
In articular cartilage, the superficial zone has the ______ water content.
a. highest
b. lowest
a. highest
The collagen fibers in the deep zone of articular cartilage are predominantly oriented___________ to the articular surface.
a. parallel
b. perpendicular
c. at no preferential angle
b. perpendicular
In cartilage subjected to compressive loading, the fluid phase carries _____ of the load via hydrostatic pressurization as the rate of loading increases.
a. more
b. less
c. none
a. more
The internal swelling pressure of articular cartilage is created by ________.
a. Low fixed negative charge density
b. High fixed negative charge density
c. High packing density of collagen fibrils
d. Orientation of the collagen fibrils
b. High fixed negative charge density
In articular cartilage under compressive load, the magnitude of compressive strain (matrix consolidation) is initially highest in the ________ zone.
a. superficial
b. middle/transition
c. deep/radial
a. superficial
True or False: When articular cartilage is loaded dynamically (e.g., during gait), the tissue's low hydraulic permeability allows hydrostatic fluid pressure to support at least 80% of the load.
True
The main reason for the exceptionally low coefficient of friction in diarthroidial joints is that ________________.
a. lubricin is adsorbed to the cartilage surface
b. the surfaces are extremely smooth
c. most of the load is carried by a pressurized fluid
d. collagen itself is very slippery
c. most of the load is carried by a pressurized fluid
In the biphasic model of articular cartilage, the two parameters which govern its mechanical properties (i.e., those found from curve-fitting confined creep to the biphasic model) are the _____________.
a. aggregate modulus and equilibrium modulus
b. aggregate modulus and hydraulic permeability
c. elastic modulus and Poisson’s ratio
d. water content and porosity
b. aggregate modulus and hydraulic permeability
The structural molecule which governs the mechanical properties of ligaments and tendons is _____________.
a. proteoglycan
b. fibronectin
c. gelatin
d. collagen
d. collagen
True or False: In the extracellular matrix of tendons and ligaments, molecules aggregate in a quaternary structure resulting in a banding pattern within collagen fibrils.
True
The alpha chains of collagen are wound around each other in a triple helix to form a rod-like molecule ______ nm in length and ______ nm in diameter.
a. 280, 1.5
b. 1.5, 280
c. 2.8, 15
d. 280,150
a. 280, 1.5
Tendon and ligament insertions to bone are functionally adapted to distribute and dissipate the forces they carry. Choose the correct order of tissue types found at such insertions.
a. Ligament/tendon collagen fibers → mineralized fibrocartilage → unmineralized fibrocartilage → bone
b. Ligament/tendon collagen fibers → hyaline cartilage → mineralized hyaline cartilage → bone
c. Ligament/tendon collagen fibers → unmineralized fibrocartilage → mineralized fibrocartilage → bone
d. Ligament/tendon collagen fibers → mineralized fibrocartilage → decalcified bone → bone
c. Ligament/tendon collagen fibers → unmineralized fibrocartilage → mineralized fibrocartilage → bone
True or False: Ligament contains fewer glycosaminoglycans (GAGs) and less water than tendon.
False
Compared to tendon, ligaments are generally ________.
a. more stiff and strong
b. less stiff and strong
c. much stronger but less stiff
d. much stronger but less extensible
b. less stiff and strong
True or False: Although the mechanical properties of ligament and tendon are highly dependent on aligned collagen fibers, the ground substance in which they are embedded (which is composed mainly of proteoglycans and water) does contribute to the tissue's strength and elasticity.
True

The image at right is a longitudinal cross section through tendon and the dark structures (arrow) are the ________.
a. collagen bundles
b. proteoglycan molecules
c. fibroblast nuclei
c. fibroblast nuclei
The phenomenon which accounts for the "toe" region of ligament and tendon stress-strain curves is ________________.
a. the absorption of water in the early phase of loading
b. the tissue's high modulus of elasticity
c. coiling of the collagen fibrils
d. straightening of the crimped collagen fibrils
d. straightening of the crimped collagen fibrils
Two technical difficulties associated with mechanical testing of tendons are
a. Data processing and gripping the tissue
b. Gripping the tissue and measuring strain
c. Measuring strain and temperature control
d. Computer programming and load rate control
b. Gripping the tissue and measuring strain
Along each alpha chain (peptide) of a collagen molecule, every third amino acid is __________. whose small size allows tight packing of the molecule
a. arginine
b. glucosamine
c. glycine
d. lysine
c. glycine
Ligaments and tendons exhibit hysteresis, which is the. ______.
a. gradual stretch that occurs under constant load
b. decrease in force that occurs when held at a constant elongation
c. alignment of collagen fibrils in the direction of loading
d. dissipation of energy which occurs during loading and unloading ( area between loading and unloading stress-strain curves)
d. dissipation of energy which occurs during loading and unloading ( area between loading and unloading stress-strain curves)
Ligaments and tendons rupture at _________ elongation as they age.
a. higher
b. lower
c. the same
b. lower

Based on this cartilage stress relaxation behavior:
a. Fluid pressurization is not important to cartilage mechanics.
b. Cartilage has extremely high hydraulic permeability.
c. Load sharing by the solid phase of cartilage gradually increases during the relaxation phase.
c. Load sharing by the solid phase of cartilage gradually increases during the relaxation phase.
Which of the following phenomena is not associated with viscoelastic materials?
a, If the stress is held constant, the strain increases with time (creep)
b. If the strain is held constant, the stress remains constant
c. The effective stiffness depends on the rate of application of the load
d. Rebound of an object following an impact is less than 100%
b. If the strain is held constant, the stress remains constant

In a typical sinusoidal oscillation experiment on a viscoelastic material, the applied stress and resulting strain wave forms can be described as follows.
Purely elastic materials have stress and strain in phase, so that the response of one caused by the other is immediate and Delta = ________ degrees.
a. 90
b. 180
c. 0
d. 45
c. 0
When a sinusoidally varying compressive stress was applied to articular cartilage (a viscoelastic material), the resulting strain was out of phase by an angle Delta. At a particular frequency the ratio of stress amplitude to strain amplitude was 57.37 MPa and the loss modulus was 5 MPa. What was the phase angle Delta?
G” = (stress amp/stain amp)sinDelta
5MPa = 57.37sinDelta
Delta = sin-1(5/57.37)
Delta = 5 degrees
Suppose you are designing a new prosthesis and you need to select a cushioning material. You are told that the one currently in use is too "mushy," meaning that it overly damps vibrations and doesn't provide enough elastic rebound. Tan Delta for the current material is 1.4. Therefore you want to choose a material with a tan Delta
a. >1.4
b. <1.4
c. =1.4
b. <1.4

The phenomenon displayed by viscoelastic materials which is depicted in the figure below is called___________.
a. creep
b. hysteresis
c. chillaxation
d. stress relaxation
d. stress relaxation

The Maxwell Model shown below does not represent real viscoelastic materials well because it ______________.
a. relaxes completely to zero stress
b. undergoes creep indefinitely
c. cannot deform instantaneously
d. a and b
d. a and b
relaxes completely to zero stress and undergoes creep indefinitely
The composition of articular cartilage is 4-7% proteoglycan, 10-20% collagen, and 65-80% ___________.
a. air
b. water
c. fat
d. mineral
b. water

The missing label in this drawing of articular cartilage extracellular matrix is
a. Collagen fibril
b. Link protein
c. Sea snake
d. Striped tube thingy
a. Collagen fibril
In the Kelvin-Voight model of viscoelasticity:
a. the dashpot does not allow instantaneous deformation to occur
b. the displacement creeps to an asymptotic level
c. a and b
d. none of the above
c. a and b
the dashpot does not allow instantaneous deformation to occur
the displacement creeps to an asymptotic level
The least squares method of curve-fitting biomechanical experimental data to a constitutive model involves minimizing the ___________.
a. squares of all the experimental values
b. square root of the absolute difference between the experimental and theoretical values
c. sum of the squares of the differences between the experimental and the theoretical values
d. sum of the square roots of the differences between the experimental and the theoretical values
c. sum of the squares of the differences between the experimental and the theoretical values
In an oscillatory shear test on cartilage, the stress amplitude was 0.023 MPa, the strain amplitude was 0.02, and the phase lag was 17°. What was the storage modulus?
a. 0.83 MPa
b. 0.34MPa
c. 4.4MPa
d. 1.1 MPa
G’ = (stress amp/strain amp)cosDelta
G’ = (0.023/0.02)cos(17)
G’ = 1.1 MPa

This is a graph of tan Delta versus vibration frequency for cartilage in the medial compartment of both osteoarthritic and control knees. If healthy cartilage is much better at vibration damping than osteoarthritic cartilage, which series represents the healthy control cartilage?
a. Circles
b. Squares
a. Circles

The figure illustrates mixed lubrication of articular cartilage. The special protein adsorbed to the surface that lubricates at points of asperity contact is _____________.
a. WD-40
b. hyaluronic acid
c. lubricin
d. lubrizel
c. lubricin
Which is NOT an effect of osteoarthritis on articular cartilage?
a. Increase in viscoelastic energy dissipation
b. Lower water content
c. Decrease in tensile modulus
d. Lower proteoglycan content
e. None of the above
b. Lower water content
Osteoarthritis is a progressive, degenerative disease because cartilage lacks _________.
a. Lymphatics
b. Vascularization
c. Nerves
d. Cells
b. Vascularization
Which is the largest controllable risk factor for osteoarthritis?
a. Body mass index ( obesity)
b. Genetics
c. Age
d. Gender
a. Body mass index ( obesity)
Which of the following describes the loss of articular cartilage on the surface of a joint leading to chronic pain, swelling, and restricted joint mobility due to normal "wear and tear" over time?
a. Post-traumatic osteoarthritis
b. Rheumatoid arthritis
c. Secondary osteoarthritis
d. Primary osteoarthritis
d. Primary osteoarthritis

Below are stress-strain curves obtained for fascicle bundles dissected from: a) posterior side and b) anterior side of bovine Achilles tendon. Samples were stretched with 1 % s-1 strain rate to 6% and unloaded to 0% strain. From these curves, you can conclude that posterior samples had greater _______ and_____________.
a. Ultimate tensile strength and storage modulus
b. Stress relaxation and tan Delta
c. Elastic modulus and hysteresis
d. Loss modulus and Delta
c. Elastic modulus and hysteresis
Which of the following is a widely used approach to determining a unique solution to a statically indeterminate problem in muscle musculoskeletal biomechanics:
a. Stabilization
b. Continuation
c. Boundary condition
d. Reduction
e. Synchronization
d. Reduction

True or False: The main contributor to intrinsic stability of the elbow is the articulation between the capitulum of the humerus and the radial head.
False
The overhead throwing motion produces very high tensile stresses on the medial side of the elbow (valgus load). This stress is carried mainly by the ____________.
a. Lateral collateral ligament
b. Annular ligament
c. Ulnar or medial collateral ligament
d. Olecranon process
c. Ulnar or medial collateral ligament

Referring to motion of the shoulder, the drawing at right depicts ___________.
a. Adduction
b. Abduction
c. Internal rotation
d. External rotation
e. Flexion
b. Abduction
The surface area of the glenoid fossa is ____________ that of the humeral head, which allows a significant freedom of movement.
a. ½ - 7/8
b. 2/3
c. ¼ - 1/3
d. 1/8
c. ¼ - 1/3
The ______________ provides dynamic restraints to anterior, posterior, and inferior displacement of the glenohumeral joint.
a. Glenoid labrum
b. Deltoid muscle
c. Acromion arch
d. Clavicle
e. Rotator cuff
e. Rotator cuff

In the example shown at right the deltoid and oblique rotator cuff muscles function as a force couple to abduct the shoulder joint. What is the importance of the offsetting vertical force components?
a. They push the humeral head against the acromion.
b. They prevent excessive anterior/posterior translation of the humeral head.
c. They stabilize the humeral head on the glenoid.
d. They limit the amount of internal rotation that accompanies abduction.
c. They stabilize the humeral head on the glenoid.
In order to maintain a stable position of a cementless implant, the transfer of load must take place through _____ stress at the bone-implant interface.
a. compressive
b. tensile
c. shear
c. shear