1/15
Looks like no tags are added yet.
Name | Mastery | Learn | Test | Matching | Spaced | Call with Kai |
|---|
No analytics yet
Send a link to your students to track their progress
N
{1,2,3,…} the set of natural numbers also denoted Z+
Z
{…,-2,-1,0,1,2,…} the set of integers
Q
the set of rational numbers
R
the set of real numbers
R+
the set of positive real numbers
C
the set of complex numbers
Identity Laws

Domination Laws

Idempotent Laws

Double Complement Law

Complement Laws

Commutative Laws

Associative Laws

Distributive Laws

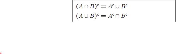
De Morgan’s Law

Absorption Laws
