1/11
Looks like no tags are added yet.
Name | Mastery | Learn | Test | Matching | Spaced |
|---|
No study sessions yet.
3 stadia van cellulaire respiratie
1. de brandstofmoleculen worden geoxideerd tot 2-C fragment: acetyl-CoA.
2. In de Krebscyclus worden ze oxideert tot CO2. De energie die hierbij vrijkomt wordt opgevangen in de vorm van NADH en FADH2.
3. Deze gereduceerde elektroncarriers worden vervolgens geoxideerd in de elektrontransportketen. Het gros van de energie wordt hierbij geconserveerd in de vorm van ATP.
Het pyruvaathydrogenase (PHD)-complex
een cluster van 3 enzymen, dat pyruvaat oxideert tot acetyl-CoA en CO2.
De algemene reactie van PDH
De algemene reactie is een oxidatieve decarboxylering. Een oxidatie proces, waarbij de bovenste carboxylgroep van pyruvaat verwijderd wordt als een CO2 molecule. Vervolgens wordt de overgebleven 2C groep, de acetylgroep van acetyl -CoA.
Deze reactie is irreversibel
De NADH die hierbij gevormd wordt zal zijn hybride-ion doorgeven aan de elektron-transport keten.

5 co-enzymen die nodig zijn voor het PHD
De oxidatieve decarboxylering vereist 3 enzymen, die samen 5 co-enzymen nodig hebben
-thiaminepyrofosfaat (TPP)
-favine-adeninedinucleotide (FAD)
-co-enzym A (CoA)
-nicotinamide-adeninenucleotide (NAD)
-lipoïnezuur
4 vitaminen die nodig zijn voor het PHD
voor de optimale werking van het complex zijn er 4 vitaminen nodig. Ze zijn namelijk de precursor van van 4/5 co-enzymen:
-thiamine (voor TPP)
-riboflavine (in FAD)
-niacine (in NAD)
-pantotheenzuur (in CoA)
functie Co-enzym A
Het heeft een reactieve thiolgroep (HS links), die als acylcarrier kan werken. Zodra een acylgroep covalent gebonden is, ontstaat er een grote deltaG voor hydrolyse. Hierdoor zal het COA de acylgroep kunnen doneren.

functie thiaminepyrofosfaat
Speelt een rol bij splitsen van bindingen in de buurt van carbonyl.

functie lipoïnezuur
Kan dienen als mogelijke elektroncarriër of als mogelijke acylcarriër.
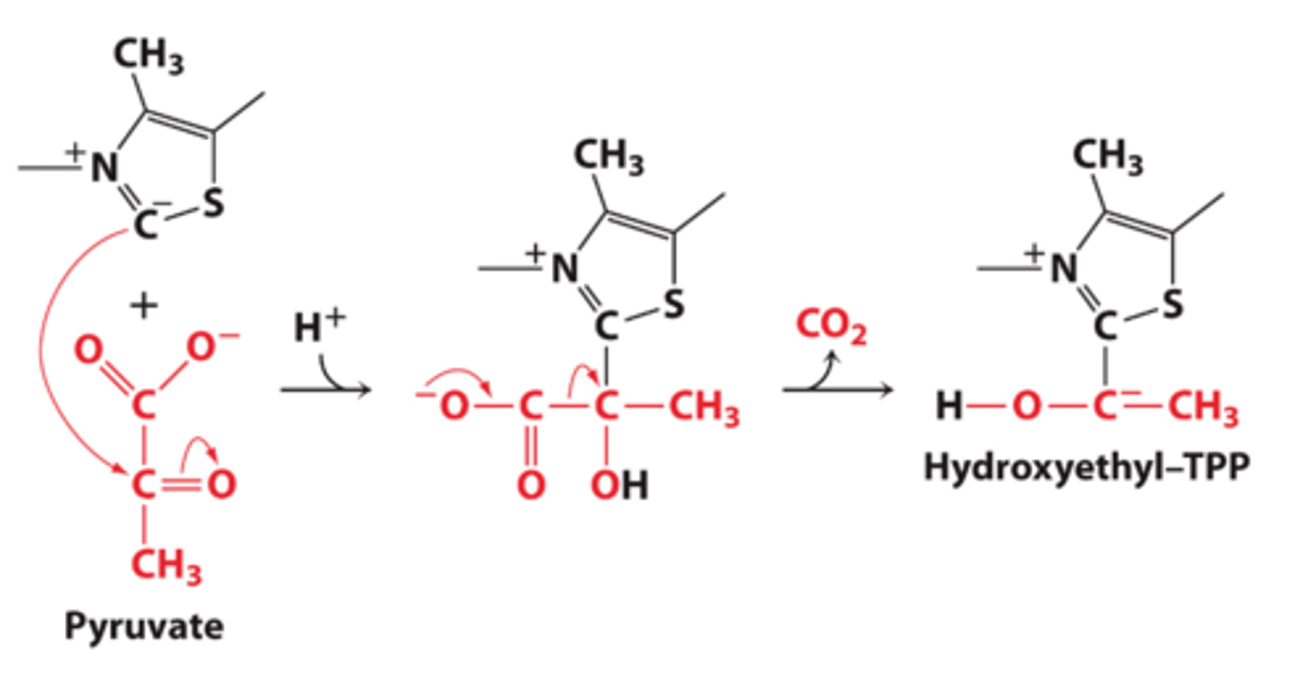
stap 1 van het PDH
-De CH groep tussen de N en S groep van TPP is veel zuurder dan andere CH groepen. Hierdoor zal deze ioniseren tot een carbonion (C-). Deze bindt gemakkelijk aan de carbonylgroep van pyruvaat.
-Nadat TPP hieraan is gebonden, zal er decarboxylering plaatsvinden van pyruvaat. Hierdoor ontstaat hydroxyl-TPP

Stap 2 van het PDH
de hydroxyethylgroep, die is vastgemaakt aan TPP wordt geoxideerd, waardoor een acetylgroep ontstaat. Deze wordt overgedragen aan de 3' S van lipoamide, waardoor acetyllipoamide ontstaat.
Aangezien het oxidans voor deze reactie de disulfidegroep van het lipoamide is, zal de de 4' S worden gereduceerd tot een SH. De binding verbreekt hierbij ook tussen de 2 S

stap 3 van het PDH
Acetyl wordt aan de S van Coenzym-A gebonden, waardoor acetyl-CoA ontstaat.
het acetyllipoamide verandert hierdoor in dihydrolipoamide.

Stap 4 en 5 van het PDH
Om weer een volgende katalytische cyclus te beginnen, moet dihydrolipoamide heroxideren tot lipoamide.
