1/16
Looks like no tags are added yet.
Name | Mastery | Learn | Test | Matching | Spaced | Call with Kai |
|---|
No analytics yet
Send a link to your students to track their progress
High levels of predation
What environmental conditions will have a negative effect on the limit a certain population of organisms is able to achieve in a habitat?
Species 4
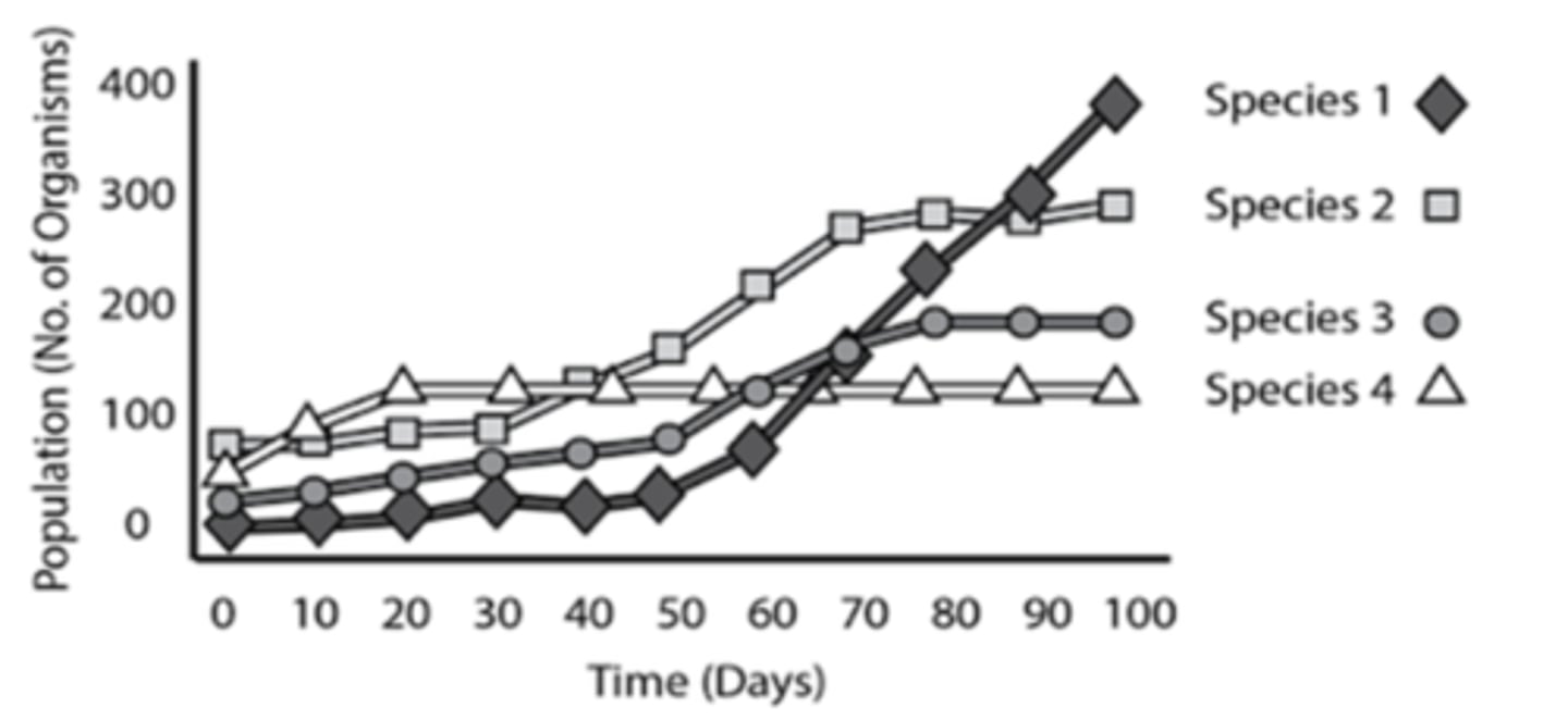
The populations of four species introduced into a new ecosystem are plotted, for the first one hundred days in the graph provided. Which species was first to reach the carrying capacity of the ecosystem for that particular kind of organism?

This environment has only enough resources to support 250-300 individuals of this organism
The graph provided shows the population of an organism introduced to a new environment and how the population changed over sixty days. After the sharp rise, there was a leveling off of the population. What does this indicate?

K-strategists with a Type I survivorship curve.
Cycads are gymnosperms that were diverse and abundant during the Mesozoic era. Ext ant species of cycads share many traits with those from the Mesozoic era. Cycads bear cones, are long-lived with slow growth rates, show late reproductive maturity, and have very few offspring. Based on this description, the cycads are what type of species?
The dinosaurs were r-strategists and exhibited Type III survivorship curve.
Certain species of dinosaur laid large numbers of eggs, and the hatchlings had high mortality early in life.But if they survived, the young dinosaurs were able to grow at a rapid pace and disperse into the environment in order to thrive. Based on this information what best characterizes this species of dinosaur?
Type III survivorship
Dandelions grow quickly and produce many seeds, ensuring that at least some plants will survive and produce seeds themselves. What curve best represents the survivorship of dandelions?
Type 1 survivorship
Which curve best represents a K-selected species?
Type II survivorship (straight line)
Certain lizards display a survivorship curve where the chance of survival is independent of age. What line on the graph best depicts the survivorship of these lizards?
E
The diagram illustrates how the number of individuals in a population changed with time as a result of external stresses and resource limitations. What portion of the curve most likely corresponds to the carrying capacity of the ecosystem?

1500
The graph shows the population sizes for the moose population and the wolf population on Isle Royale. Based on the data in the graph, which of the following is the best estimate of the carrying capacity of the wolf population?

Plants in the area could not support the large population of moose in 1995.
What best explains the change in the moose population from 1995 to 1997?
Survivorship curves differ for K-selected and r-selected species, with K-selected species typically following a Type I or Type II curve and r-selected species following a Type III curve.
Match the types of survivorship curves with the type species.
humans in developed countries and animals in zoos. A lot of effort is invested in each individual, resulting in high survivorship throughout the life cycle: Most individuals die of old age. In general, this is more typical of K-selected species.
Type I survivorship
the mortality of an individual does not depend on its age.
Type II survivorship
produce many thousands of individuals, most of whom die right away: Once this initial period is over, survivorship is relatively constant.
Type III survivorship
It is the horizontal line
Label the carrying capacity on the graph
After population overshoot, population decline following the depletion of resources
Between 1975 and 1985, what happened to the wolf population?
