1/22
Looks like no tags are added yet.
Name | Mastery | Learn | Test | Matching | Spaced | Call with Kai |
|---|
No analytics yet
Send a link to your students to track their progress
imagined communities
Symbols & rituals
Imagined communities by Benedict Anderson
Coined term
Discussion of the printing press and how this changed epistemology
Sense that we have something in common even if you don’t know them personally
Think religions
“roots of interests”
no mere ‘aggregates’
The only group that matters is the ones that know each other face to face?
Some anthropologist think this, but disagree
Experience special interest groups as actual ‘groups’
Digital communities matter
Ex. Swifties
(Amplified) para-soical relationships
Ex. Podcast hosts, fictional characters, musicians, influencers
Reality TV boom —> para social relationships became more mainstream media
Group construction
Realist concerns: not part of a group, someone will come and attack
Tension between wanting to belong and sense of self (setting oneself apart)
Both inform how we join groups
In-group bias: members of the groups we are a part of, we think they are good
Think good of the in group
Out-group bias: putting people in other groups into boxes based on negative encounters
Think poorly of out groups
What comes first, out group or in group bias?
Find something that isn’t you and latch onto it
Can’t be an in group without an out
Digital tribalism
ICT-mediated group attachments that feel so deep-seated that they inspire a strong sense of loyalty to the group and its perceived values, along with often radical rejection of anyone and anything outside the group
Digital tribalism examples
Ex. Gamer gate 2014
Gamers upset of journalists critique of female representation in video games
Went so far as these journalists and other females in the gaming industry getting murder and rape threats
Ex. Connection between alt-right, incel and MAGA
People connected to gamer gate were found to be part of at least one of these groups
Connection between gamer gate and Jan 6th?
What is technology?
any systematic, practical application of human knowledge (to solve a human problem)
Why design matters?
NYC Kew Gardens 1955 highways system with low bridges
Public transport could not make it through these tunnels —> poor POC are the ones who used busses —> made sure POC could not make it to Long Island
Moses was a white supremacist
‘Technology is neither good nor bad, nor is it neutral’ - Melvin Kranzberg

Media: how important is delivery mechanism?
‘The medium is the message’ - Marshal McLuhan
Importantly: follow the medium !
Technological affordances
The functional and relational aspects which frame, while not determining, the possibilities for agentic action in relation to an object
Better version? The functional and relational aspects of an objects design that encourages, while not determining, certain uses of that object.
Invitation to use something in a certain way
Some important ‘objects’ —> social media
Nested networks
Major kinds of power that happen in a network society —> each network has a network within it —> zoom in even more and you have the people making up the networks
Switching power
Ex. Elon musk on X: can ban people bc he can
Programming power
Calibrating network architectures
Many thought that the internet will always stay in many-to-many communication
Media really ended up in one-to-many communication

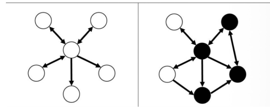
Network concepts
node
Ties
Centrality
Degree

Node
user accounts, words in novel (how is everything related/connected)
Ties
directional, multidirectional, etc.
Centrality
what is the center of these nodes and ties (what power does this hold)
What type of centrality does it have?
degree
Page rank
Betweenness
Closeness
Degree centrality
more followers has more power

PageRank centrality
the type of follower will grant you more or less power (influence)

Betweenness centrality
one node that is effectively a bridge
If you take this bridge out they are no longer connected, gives them lots of power

Closeness centrality
how to reach other people (the most people)

Communities in networks
When a node has at least one connection that has one connection back
