1/32
Looks like no tags are added yet.
Name | Mastery | Learn | Test | Matching | Spaced | Call with Kai |
|---|
No analytics yet
Send a link to your students to track their progress

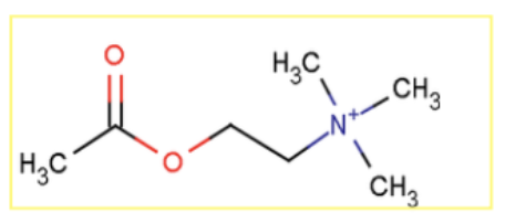
Acétylcholine
(Carbachol et bétanéchol)
N+ et carbamate

Atropine (SPASMOLYTIQUE NEUROTROPE)
(acide tropique et tropanol + carbone asymétrique)

Scopolamine (SPASMOLYTIQUE NEUROTROPE)
(Acide tropique + tropanol + carbone asymétrique + époxy qui le différencie de l’atropine)

Curarisants
(d-Tubocurarine - Rocuronium - Atracurium - Cisatracurium - Mivacurium)
2 azotes tertiaires / quaternaires distancés de 10-14 carbones

Adrénaline (éphédrine) (sympathomimétique)

Noradrénaline (noréphédrine) (sympathomimétique)

Phényléphrine (alpha 1 - mimétique)
Enlèvement du OH en 4 donc augmente effet alpha

Ethyléphrine (Alpha 1 - mimétique)
OH en bêta donc augmente activité alpha et bêta
Enlèvement de l’OH en 4 donc augmente effet alpha

Noréphédrine (Alpha 1 mimétique)
Substitution en alpha donc diminue sensibilité aux MAO

Ephédrine (sympathomimétique)

Imidazoline (alpha 1 mimétique)
(Oxymétazoline, xylométazoline - naphazoline - Tramazoline)
On observe la structure normale d’un alpha 1 mimétique avec un groupement imidazole

Alpha-2 mimétique (Clonidine)
Halogénés augmente action centrale

Alpha 2-mimétique (Apraclonidine)

Alpha-2 Mimétique (Brimonidine)

Alpha-méthyldopa (Alpha-2 mimétique)

Dexmédétomidine (Alpha-2 mimétique)
Enlèvement des OH donc activité centrale augmentée

Bêta mimétique (Isoprenaline)
Sélectivité bêta grâce à isopropyl

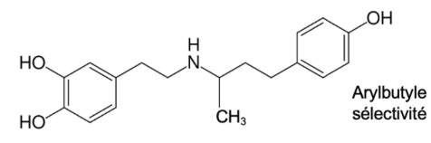
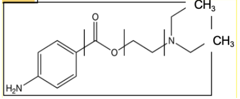
Bêta-1 mimétique (Dobutamine)
Arylbutyle augmente la sélectivité pour bêta 1

Bêta-2 mimétique SABA (Salbutamol)
OH en 3 et 5
OH en 3 substitué ou remplacé CH2OH
N substitué par un petit groupement

Bêta-2 mimétique LABA (Salmétérol)
OH en 3 et 5
OH en 3 substitué ou remplacé CH2OH
N substitué par un groupement encombrant

Bêta-3 mimétique (Mirabégron - Vibégron)
Enlèvement de OH qui augmente l’activité bêta-3 et l’activité centrale

Bêta-bloquant
Catéchol remplacé par divers systèmes cycliques
Chaîne centrale éthanolamine (- CHOH - CH2 - NF-)ou oxy isopropanol amine (- O - CH2 - CHOH - CH2 - NH - )
Substitution sur l’azote moyennement volumineux (isopropyle, tertiobutyle)

Alpha - bloquants (Prazosine, Térazosine, Afluzosine)
Noyau Diméthoxyquinazoline

Alcaloïdes de l’ergot
Noyau ergoline


Triptans : agoniste sérotoninergique 5HT1


Cocaïne : anesthésique local
Azote chargé positivement à pH physiologique et distancé de 2-3 C
2 esters sur 2 chaînes latérales

Anesthésiques locaux de type ester :
Azote chargé positivement à pH physiologique et distancé de 2-3 C

Anesthésiques locaux de types amides :
Azote chargé positivement à pH physiologique et distancé de 2-3 C d’un groupement amide

Anesthésiques locaux de type éther :
Azote chargé positivement à pH physiologique et distancé de 2-3 C d’un groupement éther
Structure des anesthésique mais il manque un cycle aromatique

SAMA : anticholinergique à courte durée d’action
Dérivé de l’atropine avec l’acide tropique, le tropanol, le carbone asymétrique

LAMA : anticholinergique à longue durée d’action
Dérivé de l’atropine / scopolamine avec un groupement lipophile (encombrant) qui donne sa longue durée d’action

Spasmolytique neurotrope, anticholinergique à action centrale (Procyclidine, Triexyphénidyle, Bipéridène)
Cycle avec hétéroatome N qui remplace le N+
Un cycle aromatique et un cycle non aromatique