Chapter 11- Membrane Structure

0.0(0)
studied byStudied by 0 people
full-widthCall with Kai
GameKnowt Play
learnLearn
examPractice Test
spaced repetitionSpaced Repetition
heart puzzleMatch
flashcardsFlashcards
Card Sorting

1/51

encourage image

There's no tags or description

Looks like no tags are added yet.

Study Analytics
Name
Mastery
Learn
Test
Matching
Spaced

No study sessions yet.

52 Terms

1
New cards
<p>Plasma membrane </p>

Plasma membrane

  • Is a selective barrier around the cell that compartmentalizes the area around the cell. Prevent molecules on one side from freely mixing wiht those on the other side

  • in some bacteria the plasma membrane is the only membrane that they have

  • eukaryotic cells: also have internal membranes that enclose individual organelle

<ul><li><p>Is a selective barrier around the cell that compartmentalizes the area around the cell. Prevent molecules on one side from freely mixing wiht those on the other side </p></li><li><p>in some bacteria the plasma membrane is the only membrane that they have </p></li><li><p>eukaryotic cells: also have internal membranes that enclose individual organelle</p></li></ul><p></p><p></p>
2
New cards

Proteins associated w/ plasma membrane

allow cell to receive information. Help with import and export, move

3
New cards

Cell membrane is made up of Lipid bilayer

  •  embedded and associated with proteins 

    • the proteins embedded carry out functions that give the membrane individual characteristics 

  • lipids are arranged in 2 closely apposed sheets 

  • permeability barrier to most water soluble molecules

<ul><li><p>&nbsp;embedded and associated with proteins&nbsp;</p><ul><li><p>the proteins embedded carry out functions that  give the membrane individual characteristics&nbsp;</p></li></ul></li><li><p>lipids are arranged in 2 closely apposed sheets&nbsp;</p></li><li><p> permeability barrier to most water soluble molecules</p></li></ul><p></p>
4
New cards

Lipid structure 

Lipid head

  • Hydrophilic carrying a phosphate group is always NEG charged 

Tail

  • hydrophobic 

Amphiphatic!

5
New cards

What is the most abundant lipid in the cell membrane

  • phospholipid

6
New cards

Phosphatidylcholine

  • one of the most abundant phospholipids in membranes of plants and animals

  • has a small molecule called “choline” that is attached to the phosphate group and its hydrophilic head

<ul><li><p>one of the most abundant phospholipids in membranes of plants and animals </p></li><li><p>has a small molecule called “choline” that is attached to the phosphate group and its hydrophilic head  </p></li></ul><p></p>
7
New cards

Amphiphatic

molecules that have hydrophobic + hydrophilic regions

examples

  • phospholipid

  • detergent

  • cholesterol (found in plants + animals)

  • glycolipids- lipids that have sugars as their head

lipids being amphiphatic impact how the bilayers assemble in aqeous environments

8
New cards

Solubility + hydrophobic/ hydrophilic molecules

Hydrophilic molecules

  • dissolve readily in water

  • why? bc they contain either charged or uncharged polar groups that can form electrostatic reactions or HBs with water molecules

Hydrophobic

  • insoluble in water

  • why? bc most are uncharged + non polar so they cannot form fav reactions with water

    • force adjacent water molecules to reorganize into cage like structures around them. Being cage like is more highly ordered thatn the rest of the water. When you create the cage it requires energy. But the energy cost are minimized when the hydrophobic molecules cluster together which limits their contact with surrounding water molecules. 

9
New cards

Can the head group carry the negative charge?

Yes, typically the phosphate is the one that always carries the negative charge but there are cases like, serine where it carries the negative charge as well. 

<p>Yes, typically the phosphate is the one that always carries the negative charge but there are cases like, serine where it carries the negative charge as well.&nbsp;</p>
10
New cards

Lipid bilayer confirmation

  • Hydrophilic heads face the water on both surfaces of the bilayer

  • hydrophobic tails are shielded from the water within the interior of the bilayer

This arrangement helps with the conflicting attractions and is energetically favorable

<ul><li><p>Hydrophilic heads face the water on both surfaces of the bilayer</p></li><li><p>hydrophobic tails are shielded from the water within the interior of the bilayer </p></li></ul><p>This arrangement helps with the conflicting attractions and is energetically favorable </p><p></p>
11
New cards

How is the lipid bilayer self sealing?

  • discuss if it was teared

  • spontaneity

Tear—> exposed to water—> this is energetically unfavorable—> the molecules in the bilayer spontaneously rearrange to eliminate the tear

  • if the tear is to big the sheet can fold on itself and break up into closed vesicles

Lipid bilayer forms spontaneously when the membrane lipids are placed in water

<p>Tear—&gt; exposed to water—&gt; this is energetically unfavorable—&gt; the molecules in the bilayer spontaneously rearrange to eliminate the tear</p><ul><li><p>if the tear is to big the sheet can fold on itself and break up into closed vesicles </p></li></ul><p>Lipid bilayer forms spontaneously when the membrane lipids are placed in water </p>
12
New cards

Lipid bilayer

  • fluidity

    • What does it mean for the membrane to be “fluid”

    • why is it important

    • fluidity of lipid bilayer depends on?

    • How does temperature affect the fluidity

    • does the length and double vs single bond affect fluidity

    • unsaturated/ saturated

  • flexibility

Fluidity

  • ease of lipid molecules moving within the plane of the bilayer—is important for membrane function and has to be maintained within certain limits.

  • helps proteins diffuse rapidly in the plane of the bilayer and interact with another (signaling) and allows membranes to fuse with one another + mix molecules

  • The fluidity of a Lipid bilayer depends on its composition

  • How fluid the bilayer @ certain temp depends on the phospholipid composition + the hydrocarbon tails

    •   Closer packing of tails= more viscous + less fluid

    • the length of the double bonds to affect fluidity it's a major property of hydrocarbon tails that effect how tightly they pack. For example a short chain can reduce the tendency to interact between hydrocarbon tails

Unsaturated (contains double bond)

  • double bond- creates kink in the tail- which makes it more difficult for the tails to pack closely together

  • doesn’t contain the max # of H atoms

Saturated (no double bonds)

  • has all of its H atoms

Flexibility (able to bend)
- important for membrane function 

  • sets a lower limit of about 25nm to the vesicle diameter that cell membranes can form 

13
New cards

Membrane phospholipid movement within the lipid bilayer

  • name some ways that the lipids molecules can move 

  •  Flip flop: rare

  • later diffusion is rapid 

    • is the result of thermal motion 

    • the lipids are continously exchanging places with their neighbors within the same monolayer and this can lead to lateral diffusion within the plane of each monolayer

  • Rotate: rapidly occurs 

  • Flexion 

<ul><li><p>&nbsp;Flip flop: rare</p></li><li><p>later diffusion is rapid&nbsp;</p><ul><li><p>is the result of thermal motion&nbsp;</p></li><li><p>the lipids are continously exchanging places with their neighbors within the same monolayer and this can lead to lateral diffusion within the plane of each monolayer</p></li></ul></li><li><p>Rotate: rapidly occurs&nbsp;</p></li><li><p>Flexion&nbsp;</p></li></ul><p></p>
14
New cards

The membrane components can ______ ______ and rotationally but wont switch monolayer spontaneously 

The membrane components can diffuse laterally and rotationally but wont switch monolayer spontaneously 

15
New cards

liposomes

pure phospholipids can form closed spherical liposomes

<p>pure phospholipids can form closed spherical liposomes </p>
16
New cards

Cholesterol

  • how does it affect the fluidity of the membrane

  • is there a lot of cholesterol in the membrane

  • structure

  • role 

  • impact on flexibility + permeability 

  • @ high temp vs @ low temp

in animal cells the fluidity of the membrane is adjusted by including cholesterol (Steriod), which is present in large amounts in the plasma membrane

structure: short, rigid planar steroid ring a the top what has a polar head + a non polar tail

role: fill in the spaces between the neighboring phospholipid molecules that were left by the unsaturated hydrocarbon tails. 

Cholesterol can stiffen the bilayer, making it less flexible and less permeable 

@ Hight temp

  • cholesterol restricts the movement of fatty acids - this maintains the stability 

@ Low temp

  • cholesterol prevents tight packing of fatty acids - maintains fluidity 

17
New cards

Where does membrane assembly begin?

  • what enzyme transfers the phospholipids

    • result?

In the endoplasmic recticulum

  • new phospholipids are made by enzymes bound to the cytosolic surface of the ER.

Scrambalase

  • type of transporter protein that removes randomly selected phospholipids from 1 half of the bilayer and then inserts them to the other half

  • the enzyme that transfers phospholipids

  • result: symmetric growth of both halves of the bilayer

<p>In the endoplasmic recticulum </p><ul><li><p>new phospholipids are made by enzymes bound to the cytosolic surface of the ER. </p></li></ul><p>Scrambalase</p><ul><li><p>type of transporter protein that removes randomly selected phospholipids from 1 half of the bilayer and then inserts them to the other half</p></li><li><p>the enzyme that transfers phospholipids</p></li><li><p>result: symmetric growth of both halves of the bilayer </p></li></ul><p></p>
18
New cards

When membranes leave the ER what happens next, where are they incorporated?
Describe the importance of flipases: 

When membranes leave the ER and are incorporated in the Golgi apparatus, they encounter a different set of transporters called flippases, which selectively remove phosphatidylserine (light green) and phosphatidylethanolamine (yellow) from the noncytosolic monolayer and flip them to the cytosolic side. This transfer leaves phosphatidylcholine (red) and sphingomyelin (brown) concentrated in the noncytosolic monolayer. The asymmetric addition and distribution of membrane lipids can help curve or bend a membrane bilayer, which is necessary for essential processes such as the budding of membrane vesicles

Flipases: 

  • help to establish and maintain the asymmetric distribution of phospholipids characteristic of animal cell membranes 

  • is a phospholipid handling transporter that uses the NRG from ATP hydrolysis to transfer specific phospholipids from the monolayer facing the noncytoplasmic side  to face the cytosol 

<p>When membranes leave the ER and are incorporated in the Golgi apparatus, they encounter a different set of transporters <span>called flippases, which selectively remove phosphatidylserine (light green</span>) <span>and phosphatidylethanolamine (yellow) from the noncytosolic monolayer and flip them to the cytosolic side.</span> This <span>transfer leaves phosphatidylcholine (red) and sphingomyelin (brown) concentrated in the noncytosolic monolayer.</span> The asymmetric addition and distribution of membrane lipids can <strong>help curve or bend a membrane bilayer</strong>, which is necessary for essential processes such as the budding of membrane vesicles</p><p>Flipases:&nbsp;</p><ul><li><p><span style="font-family: Calibri, sans-serif;">help to establish and maintain the asymmetric distribution of phospholipids characteristic of animal cell membranes&nbsp;</span></p></li><li><p><span style="font-family: Calibri, sans-serif;">is a phospholipid handling transporter that uses the NRG from ATP hydrolysis to transfer specific phospholipids from the monolayer facing the noncytoplasmic side&nbsp; to face the cytosol&nbsp;</span></p></li></ul><p></p>
19
New cards

all cell membranes have distinct “inside” and “outside” faces

  • explain what the cytosolic monolayer is vs non cytosolic monolayer.

Cytosolic monolayer: always faces the cytoplasmic side

  • the negatively charged phospholipids are maintained on the cytoplasmic

Non cytosolic monolayer: is exposed to the cell exterior (in the case of the plasma membrane) or the interior space LUMEN or an organelle

<p>Cytosolic monolayer: always faces the cytoplasmic side </p><ul><li><p>the negatively charged phospholipids are maintained on the cytoplasmic </p></li></ul><p>Non cytosolic monolayer: is exposed to the cell exterior (in the case of the plasma membrane) or the interior space LUMEN or an organelle </p>
20
New cards

Where are lipids glycosylated, and where do they remain?

lipids- glycosylated in the golgi app and they remain on the non cytoplasmic side of the membrane

21
New cards

once a glycolipid molecule has been created it remains trapped in the monolayer, why?

how is the glycolipid oriented in the plasma membrane

because there are no flipasses that transfer glycolipids to the cytosolic side

When the glycolipid is delivered to the plasma membrane it displays the sugar to the EXTERIOR of the cell on the non cytosolic membrane

SUGARS FACE THE CELL EXTERIOR

<p>because there are no flipasses that transfer glycolipids to the cytosolic side</p><p>When the glycolipid is delivered to the plasma membrane it displays the sugar to the EXTERIOR of the cell on the non cytosolic membrane</p><p>SUGARS FACE THE CELL EXTERIOR </p>
22
New cards

Question: All of the carbohydrates in the plasma membrane face the cell exterior. Which direction do the carbohydrates on the internal cell membranes face?

A.    The cytosol

B.    The cell exterior

C.    the lumen of the vesicle or organelle

D.    the glycocalyx

C.    the lumen of the vesicle or organelle

Glycolipids are located only in the noncytosolic half of the bilayer; the same orientation holds true for glycoproteins. For the plasma membrane, this means that sugars face the cell exterior. For internal membranes, any sugars will face the lumen of the vesicle or organelle . 

<p><span>C.&nbsp;&nbsp;&nbsp; the lumen of the vesicle or organelle</span></p><p><span style="font-family: &quot;Times New Roman&quot;, serif;">Glycolipids are located only in the noncytosolic half of the bilayer; the same orientation holds true for glycoproteins. For the plasma membrane, this means that sugars face the cell exterior. <strong>For internal membranes, any sugars will face the lumen of the vesicle or organelle .&nbsp;</strong></span></p>
23
New cards

What are membrane proteins?

these are proteins associated with the lipid bilayer of a cell

24
New cards
<p>examples of plasma membrane proteins and their functions:</p>

examples of plasma membrane proteins and their functions:

<p></p><p></p>
25
New cards

Transmembrane Proteins

Monolayer Associated

Lipid linked

Protein Attached

Transmembrane

  • extend through the bilayer and is amphiphatic

  • as a single α helix, as multiple α helices, or as a rolled-up β sheet (called a β barrel).

  • some can put most of their mass on just one side while others will put their mass on both sides

Monolayer associated

  • anchored to the cytosolic half of the lipid bilayer by an amphiphatic alpha helix 

Lipid linked 

  • lie outside of the bilayer (either side) 

  • attached to the membrane by one or more covalently attached lipid groups 

Protein Attached 

  • bound indirectly to one side of the membrane or the other 

  • held in place by their weak non covalent interactions with other membrane proteins 

<p>Transmembrane </p><ul><li><p>extend through the bilayer and is amphiphatic </p></li><li><p><span>as a single α helix, as multiple α helices, or as a rolled-up β sheet (called a β barrel).</span></p></li><li><p><span>some can put most of their mass on just one side while others will put their mass on both sides</span></p></li></ul><p>Monolayer associated</p><p> </p><ul><li><p>anchored to the cytosolic half of the lipid bilayer by an amphiphatic alpha helix&nbsp;</p></li></ul><p>Lipid linked&nbsp;</p><ul><li><p>lie outside of the bilayer (either side)&nbsp;</p></li><li><p>attached to the membrane by one or more covalently attached lipid groups&nbsp;</p></li></ul><p>Protein Attached&nbsp;</p><ul><li><p>bound indirectly to one side of the membrane or the other&nbsp;</p></li><li><p>held in place by their weak non covalent interactions with other membrane proteins&nbsp;</p></li></ul><p></p>
26
New cards

What are Integral membrane proteins vs peripheral membrane proteins?

Integral membrane proteins 

  • are physically integrated into the membrane in some way

  • ex: transmembrane, lipid linked, and monolayer associated 

  • can be removed by disrupting the bilayer with detergents 

Peripheral membrane protein

  • indirectly associated with the membrane 

  • ex: protein attached

  • can be released from the membrane by more gentle extraction procedures that interfere with protein-protien interactions, but they leave the lipid bilayer intact 

27
New cards
<p>The C-N backbone of polypeptides is </p><p>A. Hydrophilic </p><p>B. hydrophobic </p><p></p>

The C-N backbone of polypeptides is

A. Hydrophilic

B. hydrophobic

Hydrophilic

  • peptide bonds that join the successive amino acids in a protein are normally polar, making the polypeptide backbone itself hydrophilic

The atoms on either side of a peptide bond (red line) are polar and carry partial positive or negative charges (δ+ or δ–). These charges allow these atoms to hydrogen-bond with one another when the polypeptide folds into an α helix that spans the lipid bilayer

28
New cards

Are the side chains hydrophobic or hydrophilic

hydrophobic

  • they cannot form favorbale reactions with water molecules

29
New cards

hydrogen bonding + polypeptide chain

hydrogen bonding is maximized if the polypeptide chain forms a regular alpha helix

  • the alpha helix structure allows hydrophobic R-groups to be exposed while the backbone is shielded from the membrane

  • the hydrophobic side chains of amino acids forming the alpha helix make contact with the hydrophobic hydrocarbon tails of the phospholipid molecules

<p>hydrogen bonding is maximized if the polypeptide chain forms a regular alpha helix</p><ul><li><p>the alpha helix structure allows hydrophobic R-groups to be exposed while the backbone is shielded from the membrane </p></li><li><p>the hydrophobic side chains of amino acids forming the alpha helix make contact with the hydrophobic hydrocarbon tails of the phospholipid molecules</p></li></ul><p></p>
30
New cards

many single pass transmembrane proteins are ______

receptors for extracellular signals 

31
New cards

multiple alpha helices can be used to produces ?

hydrophilic channels or pores across the membrane

32
New cards

What is the most common from that a polypeptide chain can cross a lipid bilayer

  • what is another way?

  • The alpha helix is the most common

but the polypepetide chain of some transmembrane proteins crosses the lipid bilayer as a BETA sheet that is rolled into a cylinder like a keg, sometimes called a β barrel

33
New cards

β barrel

  • rolled into a cylinder like a keg

  • amino acid side chains - face inside of the barrel- line the aqueous channel- mostly hydrophilic

    • outside of barrel = hydrophobic

      • contact the hydrophobic core of the lipid bilayer

34
New cards

Give an example of a beta barrel structure

Porin proteins

  • large, water filled pores in mitochondrial and bacterial outer membranes

  • porins allow the passage of small nutrients, metabolites, and inorganic ions across their outer membranes, while preventing unwanted larger molecules from crossing

<p>Porin proteins</p><ul><li><p>large, water filled pores in mitochondrial and bacterial outer membranes </p></li><li><p>porins allow the passage of small nutrients, metabolites, and inorganic ions across their outer membranes, while preventing unwanted larger molecules from crossing </p></li></ul><p></p>
35
New cards

What is the primary function of porin proteins?

A. Act as enzymes for ATP synthesis
B. Allow passive transport of small molecules across the outer membrane
C. Pump ions against a gradient
D. Anchor membranes to the cytoskeleton

B. Allow passive transport of small molecules across the outer membrane

36
New cards

Porins are typically found in which of the following locations?

A. Cytosol
B. Inner mitochondrial membrane only
C. Plasma membrane of all eukaryotic cells
D. Outer membranes of mitochondria and some bacteria

D. Outer membranes of mitochondria and some bacteria

37
New cards

How do porins prevent large unwanted molecules from passing through?

A. They use ATP to block entry
B. They are gated by hormones
C. Their pore size selectively allows only small molecules
D. They break down large molecules enzymatically

C. Their pore size selectively allows only small molecules

38
New cards

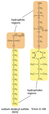
How can lipids be solubilized?

by detergents (small, amphiphatic, lipidlike molecules, interact with membrane proteins and membrane lipids)

1st step in the tipurification process

  • involves solubilizing the membrane with agents that destroy the lipid bilayer by disrupting hydrophobic associaitons

39
New cards

How do detergents differ from membrane phospholipids

  • How does this difference affect their shape

the detergents only have a single hydrophobic tail

  • the detergent molecules are shaped like cones

<p>the detergents only have a single hydrophobic tail </p><ul><li><p>the detergent molecules are shaped like cones </p></li></ul><p></p>
40
New cards

detergent micelles 

in water, these conical molecules tend to aggregate into small, irregularly shaped clusters called micelles

<p> in water, these conical molecules tend to aggregate into small, irregularly shaped clusters called micelles</p>
41
New cards

What advancements have been made to determine membrane proteins in high resolution

advancements in x-ray chrystallography + new approaches like cyro- electron microscopy

42
New cards

Bacteriorhodopsin

  • Why is it important

  • What is it

  • Does it do anything with protons

  • Structure

  • important because it was the structure that 1st revealed exactly how alpha helices cross the lipid bilayer

  • Bacteriorhodopsin: small protein, found in large amounts in the plasma membrane of Halobacterium salinarum, an archaeon that lives in salt marshes. Bacteriorhodopsin is a pump, a class of transmembrane protein that actively moves small organic molecules and inorganic ions into and out of cells.

    • acts as a membrane transport protein that pumps H+ (protons)  out of the cell 

    • Each bacteriorhodopsin contains 

      • 1 chromophore (light absorbing, non protein, gives the organism a purple color) called RETINAL

      • Retinal is covalently attached to one of the bacteriorhodopsins transmembrane alpha helices

      • absorbs a photon of light and it changes shape

43
New cards

How does retinal cause a shape change and what is the affect 

Retinal is light absorbing and when it absorbs a photon of light it changes shape

  • the shape change causes the surrounding helices to go through small conformational changes 

  • which pump 1 proton from retinal to the the outside of the organism 

44
New cards

In the presence of sunlight, the bacteriorhodopsin molecules pump?

pump H+ out of the cell

generates a concentration gradient of protons across the plasma membrane

cell uses proton gradeint to store NRG and convert it into ATP

45
New cards

what is the first step of examining protein function and determining the 3D shape of the protein

protein isolation

46
New cards

the plasma membrane of animals is stabilized by a meshwork of filamentous proteins called?

cell cortex that is attached to the underside of the membrane 

47
New cards

True or false

a membrane is a 2 dimensional fluid

true

and many of its proteins and lipids can move freely within the plane of the bilayer

48
New cards

Most proteins have what type of diffusion

lateral diffusion

49
New cards

how was lateral diffusion initially demonstrated

fusing a mouse cell with a human cell

  • formed a double sized hybrid cell

  • @first the mouse and human proteins were confined to their own halves but within a hour the proteins evenly mixed over the entire cell surface

<p>fusing a mouse cell with a human cell </p><ul><li><p>formed a double sized hybrid cell </p></li><li><p>@first the mouse and human proteins were confined to their own halves but within a hour the proteins evenly mixed over the entire cell surface </p></li></ul><p></p>
50
New cards
<p>what does this figure demonstrate?</p>

what does this figure demonstrate?

proteins:

A. attached to the cytoplasmic proteins

B.attached to the extracellular matrix molecules outside the cell

C. attached to transmembrane proteins on the neighboring cell

D. diffusion barrier (black) can restrict the proteins to a particular membrane domain

  • restriction via tight junctions to other protein barrier

51
New cards
<p>membranes proteins are restricted to particular domains of the plasma membrane of epithelial cells in the gut explain this figure </p>

membranes proteins are restricted to particular domains of the plasma membrane of epithelial cells in the gut explain this figure

Protein A (green) and protein B ( red) can diffuse laterally within their own domains but they are prevented from entering each others domains by a specialized tight junction

52
New cards

The restriction of protein movement allows for?

directionality and sideness of cells

By preventing membrane proteins from moving all around the cell, the cell can keep certain proteins on one side and others on a different side. This creates functionally different regions, giving the cell directionality or polarity.