1/7
Looks like no tags are added yet.
Name | Mastery | Learn | Test | Matching | Spaced | Call with Kai |
|---|
No analytics yet
Send a link to your students to track their progress

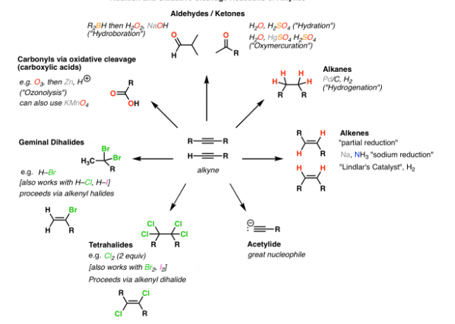
Complete this chart of addition and oxidative cleavage with alkynes


Complete this chart on reactions from terminal alkynes

Draw the mechanism for the formation of Alkynes from 1,2-dibromoalkanes

Draw the mechanism for the bromination of alkynes

Draw the mechanism for the reaction of HX ( under polar conditions) with Alkynes and sate whether it is Markovnikov or Anti-Markovnikov
Markovinikov addition

Draw the mechanism for the reaction of HX ( With hv or Peroxides) with Alkynes and sate whether it is Markovnikov or Anti-Markovnikov
Anti- Markovnikov

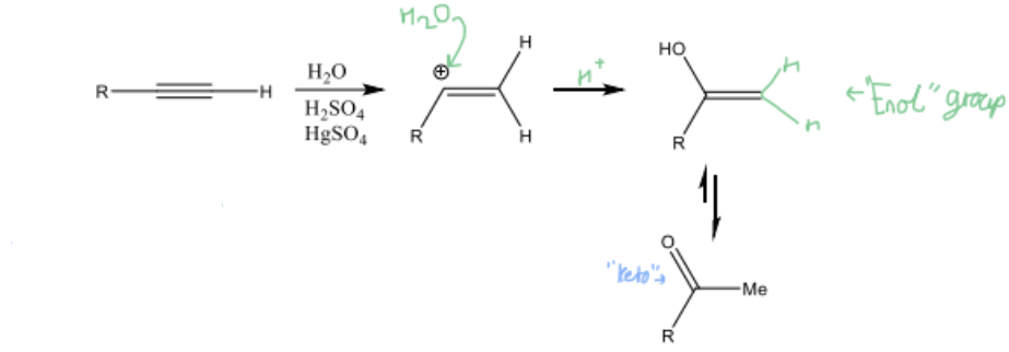
Draw the Mechanism for Hydration of Alkynes

Describe what happens to the Enol group during Hydration
Enols undergo Keto-end tautomerism, where the charge migrates to favour the keto formation