1/10
Looks like no tags are added yet.
Name | Mastery | Learn | Test | Matching | Spaced | Call with Kai |
|---|
No study sessions yet.
What is the formula of a closed disk in kartesian and polar coördinates?
kartesian: x² + y² = k
polar: r² = k

What are the polar transformations for x and y?
x = rcos(theta)
y = rsin(theta)
What is the term dA for a double integral in polar coords?
r dr dtheta

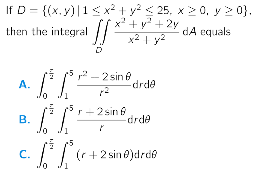
What is the integral of function f(x, y) in this domain?





What does a bounded region in polar coörds with fixed limits for r look like?
Not tested in exam!!!!!!!!!

What does a bounded region in polar coörds with fixed limits for theta look like?


What is D, and the integral of f(x,y) n polar coörds with fixed limits of theta?

Give algorithm for solving a double integral with polar coörds with only fixed limits for theta.
Draw region
Solve (if nessicary) boundary intersect r1 = r2, this gives theta1 & theta2
Rewrite f(x,y) to polar coörds
Solve integral

Give formula for a thin flat object in the x-y plane with mass density sigma(x, y):
around x-axis
around y-axis
around origin
