1/22
Looks like no tags are added yet.
Name | Mastery | Learn | Test | Matching | Spaced | Call with Kai |
|---|
No analytics yet
Send a link to your students to track their progress
























Average Value Theorem

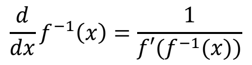
Derivative of an inverse function

Extreme Value Theorem
If f(x) is continuous on the closed interval [a, b], then f(x) must have an absolute maximum and an absolute minimum value on [a, b].
Fundamental Theorem of Calculus 1

Intermediate Value Theorem
If f(x) is continuous on [a, b], and f(c) is any number between f(a) and f(b) (inclusive), then there exists a value x = c in [a, b] such that f(x) = f(c).
Limit definition of the derivative

Linear Approximation

Mean Value Theorem

Squeeze Theorem

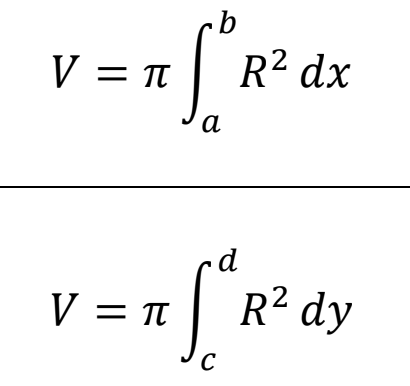
Volume of revolution (disk)

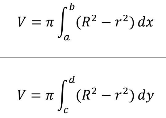
Volume of revolution (doughnut)
