1/26
Lecture 3
Name | Mastery | Learn | Test | Matching | Spaced | Call with Kai |
|---|
No analytics yet
Send a link to your students to track their progress
Optimal load size when collecting food
optimal load size when collecting food
Trade-off between collecting food and travelling to the food
The central place foraging model
slope: rate of food delivery to the nest

Maximising the tangent
The Max load size is lower than the optimal load size:
This is because you need to factor in the time to get there/ spent collecting
By collecting a little less food, you can make more trips coz it takes you less time to do so

How optimal load size changes with increased travel time?
the optimal load size increases with travel time

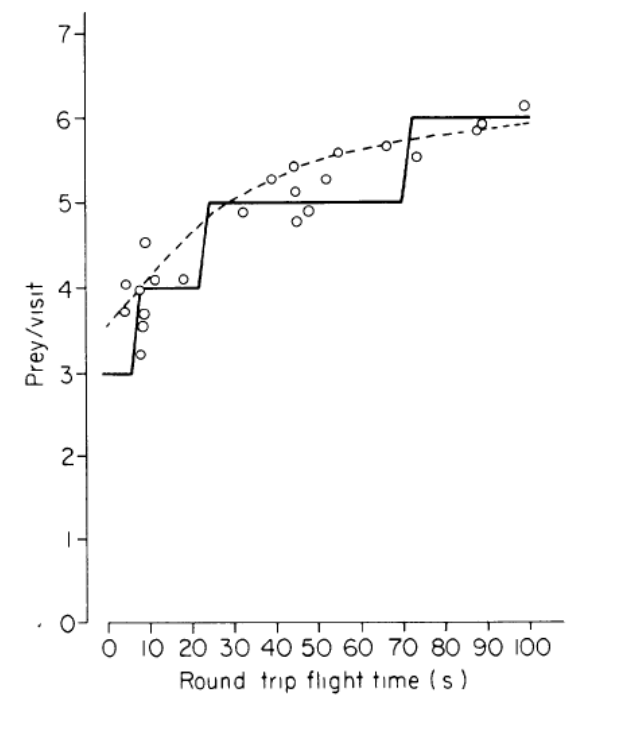
Testing this: starlings
Observed= dots
predicted= stepped line
Shows data matches prediction

But why do some experiment not fit? (3)
Costs and benefits not measured correctly
e.g energy costs may be better currency than ‘time’
Model incomplete- other costs and benefits
e.g have to return to nest for protect= less foraging time
Animal might be behaving sub optimally
e.g change in environment or manipulated by others
How much food to give offspring?: Brood hierarchies
When The parents give more food to one of their offspring
e.g can use hating asynchonry so the older chicks get more food and are bigger
Advantage of brood hierarchies
Selective starvation hypothesis:
If food short
Will have efficient brood reduction
cos smaller chicks can quickly die off
Without hierachies
limited food spread across offspring
so probs all die anyway
waste of time and energy
Testing this hypothesis
When food is short, asynchronous must be more productive than synchronous?:
Results: e.g blackbirds
Note: synchronous birds do slightly better when food is available

But from the chick’s point of view
There are genetic conflicts of interest between:
offspring and parent
Offspring:
more interested in its own welfare (r=1), than their sib
Parent
has same genetic stake in all its offspring (r=0.5)
Therefore:
The offsprings will be selected to demand more food than their parents want to give it (more than their fair share)
Intra-brood conflict
One of the offspring wanted more than its ‘fair share’ of the food
It is selfish
r=1 to itself and 0.5 to the offspring

Inter-brood conflict
Offspring wants more food than sibling
to increase chances of individual survival
deamnds care beyond partental optimum
But parent wants to give equal amounts to each offspring
so can have many offspring
lower parental care than offspring demand
because it wants to optimise lifetime reproductive success

Graphical model of parent-offspring conflict
Graph the optimal parental offspring from
parent’s point of view
offsrping’s point of view
Offspring benefit is x2 of the parent (relatedness to self if x2)
Assuming they are full-sibs: costs to parent/offspring is the same
i.e the cost of not helping the other sibling coz there is some genetic relatedness

What the graph shows
e.g in a situation where offspring should descide to kill sibling to ensure its own survival- when food is scarse?
Threshold of offspring wanting to kill sibling is lower than
When the parent would want to kill it
THEREFORE: there is a ‘battle ground’ between optima
Parent offspring conflict

When can the offspring siblicide threshold be lowered?
If they are not as related:
half siblings
even r=0, cuckoos not related at all: get rid of all the ‘siblings’
As food gets scarcer…
Stages:
Siblicide (cox offspring threshold lower)
Infanticide (parental threshold reached)
Suicide (agree to die to save life- rare it gets to this point though!)
Evidence for sibling rivalry: Intra-brood killing
Large chicks kill younger siblings when food is short
kingfishers
bee-eaters
egrets
Evidence: Inter-brood conflict
Galapagos fur-seals
older almost-weaned pup
demand continued feeding
even when the next pup is born
Sibling rivarly should increase as r decreases (half siblings)
Chicks are more selfish
Louder begging
As % of extra-pair mating increases

Cainism- Black eagles and boobies
Chick always kills its younger sibling
Then why parent lay second egg?
insurance against infertility
Parent- offspring conflict: yellow-billed hornbills
Assuming that food is not scarce
When female present for feeding:
controls food allocation
both chicks can get food
When female parent not there
Bigger chick gets more food
why?
Parent not there to stop attacks on smaller chick

What these results show
When food scarce:
brood hierarchy: useful
When food is not scarce
brood hierarchy: cost

Why is brood hierarchy bad when food is abundant?
Bigger chicks still take more food
Take more than they need: wasted
Smaller chicks could have survived if better allocation
This is why synchronous broods do better (e.g in black birds) than asynchronous when food is around.
Adapting to differing food availbility
e.g American coots
Food scarce:
brood reduction
favour larger chicks
Food available
punish greedy larger chicks
makes sure all chicks get fair share
decrease sibling rivalry
Resolution of parent-offspring conflict
Matching Parental food allocation to offspring demand
How do this?
Mothers customise their chicks so the level of offspring demand matches their capacity to care
Changed the food quality available
Mothers varied the androgens in the eggs
Related to the food quality available when making the eggs
better food → increased androgens→ more beggin
co-adaptation: of maternal capcity and offspring demand
Test if the resolution is beneficial?
Made with cross-fostering
Optimum chick growth is when the demand matched the supply
When chicks begged less than expected
less food given
less growth
When chicks begged more than expected
more energy wasted begging
grow less

We are left with a question…
If the resolution is benefical
why have a battleground?
When would you expect a battleground
When would you expect a resolution?