1/12
Looks like no tags are added yet.
Name | Mastery | Learn | Test | Matching | Spaced | Call with Kai |
|---|
No analytics yet
Send a link to your students to track their progress
Microscopic cross section
area of interaction
Macroscopic cross section
probability of interaction per cm per target atom
Total cross section
a measure of the probability that a neutron will interact with a nucleus
Scattering cross section
a measure of the probability that a neutron will be scattered by an atomic nucleus, with the value depending on the target nucleus, the neutron's energy, and the scattering angle
Absorption cross section
a measure of the probability that a neutron will be absorbed by an atomic nucleus
Saturated activity
maximum achievable activity of a radioactive isotope produced by neutron activation, reached when the rate of neutron absorption equals the rate of radioactive decay
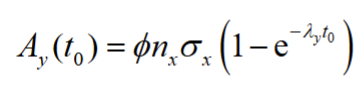
Activation equation

Criticality dosimeter

Applications of neutron reactions
NAA, PGNAA
How to calculate activity of sample exposed to neutron flux

Possible neutron reactions and how to calculate their cross sections

How to calculate mass of element given neutron flux and number of counts
How are threshold reactions used for criticality neutron dosimetry?
dose estimation