1/8
Looks like no tags are added yet.
Name | Mastery | Learn | Test | Matching | Spaced | Call with Kai |
|---|
No study sessions yet.

Label This Diagram
a - light box
b - card
c - v
d - concave mirror
e - metre ruler
f - u
g - cross hatching
Method • 1
Move card back and forth until a sharp image of the cross hatching is formed
Measure and record u and v
Method • 2
Change image distance
Repeat previous steps
Method • 3
Calculate focal length
For each set of values calculate the average focal length
Precautions • 1
Keep card close to ruler to measure v accurately
Precautions • 2
Keep card vertical
Precautions • 3
Measure u and v from the back of the mirror

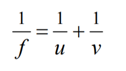
Label this formula
Mirror and lens formula
f - focal length
v - image distance
u - object distance
What page of the log tables can you find the Mirror and Lens Formula?
60