CH. 2 Families of Carbon Compounds Lecture

0.0(0)
studied byStudied by 0 people
full-widthCall with Kai
GameKnowt Play
learnLearn
examPractice Test
spaced repetitionSpaced Repetition
heart puzzleMatch
flashcardsFlashcards
Card Sorting

1/54

encourage image

There's no tags or description

Looks like no tags are added yet.

Study Analytics
Name
Mastery
Learn
Test
Matching
Spaced

No study sessions yet.

55 Terms

1
New cards

Alkane

carbon and hydrogen single bonds

2
New cards

Alkene

carbon-carbon double bond

3
New cards

Alkyne

carbon-carbon triple bond

4
New cards

Arene/ Aromatic

six membered ring with alternating double and sing bonds

  • Each carbon is sp² hybridized

  • Phenyl group

  • benzyl group

5
New cards

Phenyl group

benzene ring attached to another group

6
New cards

Benzyl group

phenyl and methylene (-CH2)

7
New cards

Polar Covalent Bonds

  • formed from atoms with different electronegativities

  • They have a dipole

  • Unit for dipole moment is debye (μ)

8
New cards

Polar and Nonpolar

  • Polar molecules have a dipole moment

  • Nonpolar molecules have no net dipole moment (but the bonds can be polar)

  • Cis/ trans isomers have different dipole moments

9
New cards

Types of Carbons

1) Primary (1o)- carbon attached to one other carbon

2) Secondary (2o)- carbon attached to two other carbons

3) Tertiary (3o)- carbon attached to three other carbons

4) Quaternary (4o)- carbon attached to four other carbons

10
New cards

Alkyl Halides

a carbon bonded to a halogen like Cl, Br, I, or F

  • The carbon attached to halogen needs to be sp³

11
New cards

Alcohol

contains a (-OH) group (a hydroxyl group)

12
New cards

Amine

contains nitrogen usually bonded to a carbon group or hydrogen

  • Nitrogen is sp³

  • Tetrahedral arrangement of electrons

  • Trigonal pyramidal molecular geometry

<p>contains nitrogen usually bonded to a carbon group or hydrogen </p><ul><li><p>Nitrogen is sp³ </p></li><li><p>Tetrahedral arrangement of electrons </p></li><li><p>Trigonal pyramidal molecular geometry </p></li></ul><img src="https://knowt-user-attachments.s3.amazonaws.com/692a7cef-6c0d-4e20-96fc-a3e676b6059b.png" data-width="100%" data-align="center" alt=""><p></p>
13
New cards

Types of Amines

based on the number of carbon groups attached tot the nitrogen

14
New cards

Nitrile

carbon triple bonded to nitrogen

15
New cards

Nitro

has a (-NO2) group

16
New cards

Ether

an oxygen atom between two carbons

17
New cards

Acid chloride

carbonyl (C=O) bonded to a chlorine atom

18
New cards

Aldehyde

a carbonyl (C=O) bonded to a hydrogen

19
New cards

Ketone

a carbonyl (C=O) bonded to two carbons

20
New cards

Carboxylic acid

a carbonyl (C=O) bonded to an -OH

21
New cards

Ester

a carbonyl bonded to carbon and an oxygen with a carbon

22
New cards

Amide

a carbonyl bonded to an amine

23
New cards

Type of Amides

based on carbon groups attached to nitrogen

24
New cards

Carboxylic Acid Anhydride

contains two carbonyls linked through an oxygen

25
New cards

Functional Groups

  • most functional groups have a dipole

    • Can be represented by arrows

    • Can be represented by delta symbol

26
New cards

Physical Properties

  • can help identify substance

    • Melting point

    • boiling point

    • solubility

27
New cards

Ion-Ion Intermolecular Force

  • Holds ionic compounds together

  • Very strong

  • Ionic compounds have high melting point

Ex. NaCl

28
New cards

Dipole-Dipole Intermolecular Force

  • Permanent dipole moments

  • Forces hold most organic compounds together

  • Forces b/w polar compounds

  • Weak force, easy to break

Ex. Acetone, CH3COCH3

29
New cards

Hydrogen Bonds

  • Very strong dipole-dipole interaction

  • Occurs b/w O, N, or F (strong electronegative atoms) and a hydrogen attached to an O, N, or F

  • Weaker than ordinary covalent bonds but much stronger than dipole-dipole forces

  • Takes more energy to break H-bonds

30
New cards

Hydrogen Bonds

  • compounds that can form H-bonds have higher boiling point than compounds that cannot

  • The more -OH groups, the higher the boiling point in compound with similar molecular weight and number of carbon

31
New cards

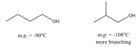
Hydrogen Bonds

  • Branching decreases the boiling point and melting point of compound

    • Less surface area and more compact structures lead to fewer attractions

  • Symmetrical alcohols do not follow the general rule above

    • They have abnormally high melting point

32
New cards

Dispersion Forces

  • induced dipole or van de Waals or London forces

  • Temporary dipole results from the electrons in atoms moving within the atom

  • Molecules have an induced (+) and (-) end

  • Attractive forces b/w nonpolar molecules

33
New cards

What are the 2 important factors of determining the magnitude of dispersion forces?

1) Polarizability of electrons- how easily the electrons respond to a changing electric field

  • The larger the atom, the farther away its electrons are from the nucleus, the more polarizability (Cl<Br<I)

  • Atoms with unshared electrons are easily polarized compared to atoms with all bonding electrons.

2) Surface area- the larger the surface area, the larger the overall attraction between molecules

34
New cards

Surface Area

the larger the surface area, the larger the the overall attraction b/w molecules

35
New cards

Boiling Points

The temperature at which the vapor pressure of the liquid equals the vapor pressure of the atmosphere

  • boiling point is pressure dependent: decreasing the pressure, decreases the boiling point

  • Nonpolar compounds with weak forces usually boil at low temp.

  • Heavier molecules need more energy to boil (surface area is larger and so are the dispersion forces)

36
New cards

Solubility

  • “like dissolves like”

  • Nonpolar compounds dissolve in nonpolar solvents

  • Water hydrates or solvates ionic compounds

  • Alkyl groups are hydrophobic (water fearing)

  • -OH groups are hydrophilic (water loving)

  • Oil is not soluble in water- it is all hydrocarbon

  • The longer the hydrocarbon chain, the less water soluble

    • after the 5 carbon, compound becomes less soluble

37
New cards

Physical Properties of Alkanes

  • Boiling point of unbranched alkanes increase with molecular weight

  • Branching decreases surface area and decreases boiling point

  • Density: alkanes have very low densities and float on water

  • Alkanes are insoluble in water

38
New cards

Infrared Spectroscopy

can give you structural information about a compound

  • what FUNCTIONAL GROUP are in a compound

  • Type of electromagnetic radiation

    • Has lower energy than visible light

39
New cards

Infrared Spectroscopy

  • all molecules have molecular vibrations

  • when infrared radiation is absorbed, the frequency of the radiation matches the frequency of the molecular vibration

40
New cards

IR Spectrum

  • 3000-3500: C-H, O-H, N-H

  • 2200: C≡N; C≡C

  • 1600-1800: C=O; C=N; C=C

41
New cards

Alkane

  • C-C

  • 2850-2960

  • medium

42
New cards

Alkanyl

  • C-H

  • Less an 3000

43
New cards

Alkene

  • C=C

  • 1640-1680

  • Medium

44
New cards

Alkenyl

  • =C-H

  • 3020-3100

  • Medium

45
New cards

Alkyne

  • C≡C

  • 2100-2260

  • Medium

46
New cards

Alkenyl

  • ≡C-H

  • 3300

  • Strong

47
New cards

Alcohol

  • O-H

  • 3400-3650

  • Strong, broad

48
New cards

Arene

  • C-H

  • 3030

  • weak

49
New cards

Aromatic Ring

  • 1660-2000

  • weak

50
New cards

Amine

  • N-H

  • 3300-3500

  • medium

51
New cards

Carbonyl Compound

  • C=O

  • 1670-1780

  • Strong

52
New cards

Nitrile

  • C≡N

  • 2210-2260

  • medium

53
New cards

Aldehyde

  • Fermi doublet

  • about 2800-2810

  • only have a fermi doublet

54
New cards

Double bond

1500-2000

55
New cards

Triple Bond

2000-2500