1/39
Looks like no tags are added yet.
Name | Mastery | Learn | Test | Matching | Spaced | Call with Kai |
|---|
No analytics yet
Send a link to your students to track their progress
Glucose

Galactose

Fructose

2’-Deoxyribose

Ribose

Maltose

Lactose

Sucrose

Amylose

Amylopectin

Cellulose


Saturated Fatty Acid

Unsaturated Fatty Acid

Arachidonic Acid
Unsaturated fatty acid precursor of the Eicosanoid hormones

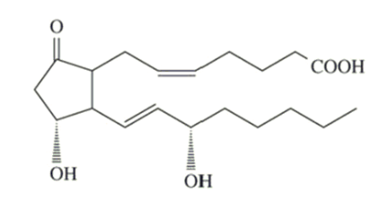
Prostaglandin
Hormones which mediate the following functions:
Inflammation Response
Reproductive Health
Gastrointestinal Function
Renal (Kidney) Function

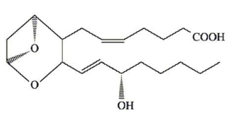
Thromboxane
Hormones which mediate the following functions:
Blood Coagulation (clotting) Cascade

Leukotriene
Hormones which mediate the following functions:
Bronchial Constriction

Phosphatidate
Phosphoglyceride:
Diglyceride bearing phosphate group at a terminal hydroxyl

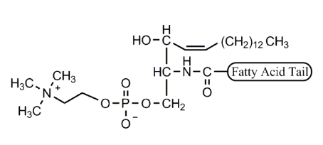
Sphyngomyelin
Sphyngolipid:
Nerve Cell membrane component

Steroid
Biological Applications:
Cholesterol
Bile salts
Sex hormones (Estrogen)

Glycine
Hydrophobic
(only non-chiral amino acid)
Gly

Alanine
Hydrophobic
Ala

Valine
Hydrophobic
Val

Leucine
Hydrophobic
Leu

Isoleucine
Hydrophobic
Ile

Phenylalanine
Hydrophobic
Phe

Proline
Hydrophobic
Pro

Tryptophan
Hydrophobic
Trp

Methionine
Hydrophobic
Met

Tyrosine
Polar Neutral
Tyr

Serine
Polar Neutral
Ser

Threonine
Polar Neutral
Thr

Asparagine
Polar Neutral
Asn

Glutamine
Polar Neutral
Gln

Cysteine
Polar Neutral
Cys

Lysine
Polar Positively-Charged
Lys

Histidine
Polar Positively-Charged
His

Arginine
Polar Positively-Charged
Arg

Aspartate
Polar Negatively-Charged
Asp

Glutamate
Polar-Negatively-Charged
Glu