1/18
Looks like no tags are added yet.
Name | Mastery | Learn | Test | Matching | Spaced | Call with Kai |
|---|
No analytics yet
Send a link to your students to track their progress

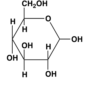
What Carbohydrate is this, and what is its abbreviation?
D-Glucose, Glc

What Carbohydrate is this, and what is its abbreviation?
D-Glucose, Glc

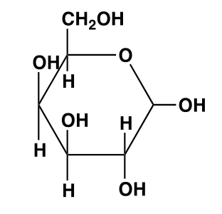
What Carbohydrate is this, and what is its abbreviation?
D-Galactose, Gal

What Carbohydrate is this, and what is its abbreviation?
D-Galactose, Gal

What Carbohydrate is this, and what is its abbreviation?
D-Mannose, Man

What Carbohydrate is this, and what is its abbreviation?
D-Mannose, Man

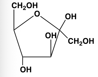
What Carbohydrate is this, and what is its abbreviation?
D-Fructose, Frc

What Carbohydrate is this, and what is its abbreviation?
D-Fructose, Frc

What Carbohydrate is this, and what is its abbreviation?
D-Ribose, Rib

What Carbohydrate is this, and what is its abbreviation?
D-Ribose, Rib

What Carbohydrate is this, and what is its abbreviation?
D-2-deoxyribose, dRib

What Carbohydrate is this, and what is its abbreviation?
D-2-deoxyribose, dRib

What Carbohydrate is this, and what is its abbreviation?
D-Arabinose, Ara

What Carbohydrate is this, and what is its abbreviation?
D-Arabinose, Ara

What Carbohydrate is this, and what is its abbreviation?
D-Xylose, Xyl

What Carbohydrate is this, and what is its abbreviation?
D-Xylose, Xyl

What Carbohydrate is this?
D-Ribulose

What Carbohydrate is this?
D-Xylulose

What Carbohydrate is this?
D-Erythrose