1/44
Name | Mastery | Learn | Test | Matching | Spaced | Call with Kai |
|---|
No analytics yet
Send a link to your students to track their progress
Media
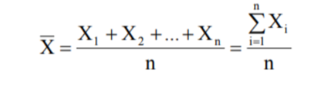
Valor promedio

Media con datos agrupados

Mediana
Dato que ocupa la posición central en la muestra ordenada de menor a mayor. Si n es impar, la mediana es el dato que ocupa la posición central. Si n es par, la mediana es el promedio de los dos datos centrales.
Mediana con datos agrupados

Medidas de dispersión (rango muestral)
describen cuan cercanos se encuentran los datos entre ellos, o cuan cera se encuentran de alguna medida de posición.

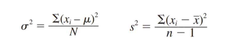
Varianza
Indica lo concentrados o dispersos está la media con respecto al entorno.

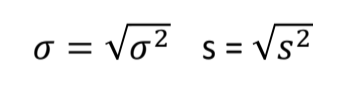
Desvío estándar
Desviación respecto a la media

Varianza muestral

Coeficiente de variación
Se usa para medir la dispersión en porcentaje para comparar con otra variable que está en distinta unidad.

Percentiles
Se usa con más frecuencia para conjuntos grandes de datos

Box-Plot
Comparación de datos a través del diagrama de caja

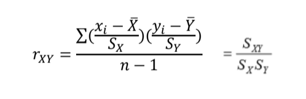
Covarianza y correlación
Relación entre dos variables. Si sxy es mayor a 0 significa que hay una relación lineal, si sxy es menor a 0 nos dice que existe una relación lineal negativa y si sxy es igual a 0 nos dice que no existe relación lineal entre las dos variables.

Coeficiente de correlación lineal
Una medida de la relación entre dos variables que no depende de las unidades de medida.

Curtosis
Se compara con la distribución Normal tipificada, o sea N(0,1). Tiene forma de campana y que su estructura probabilística viene dada por una expresión horrible 😃.

Modelo bernoulli y Binomial
Experimento aleatorio que da lugar a dos sucesos, éxito y fracaso.

Distribución binomial
Sucesión de pruebas de bernoulli es un conjunto de pruebas de bernoulli independientes y repetidas en idénticas condiciones.

Modelo hipergeométrico

Modelo poisson
Número de eventos que ocurren en un período o espacio, durante el cual se puede esperar que ocurra un promedio lambda de esos eventos.

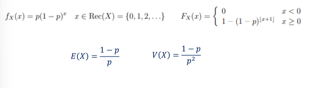
Modelo geométrico

Modelo uniforme
Se emplea para modelar el comportamiento de una variable aleatoria continua cuyos valores estén uniforme o exactamente distribuidos en un intervalo dado.

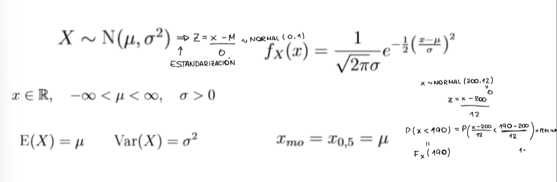
Modelo normal

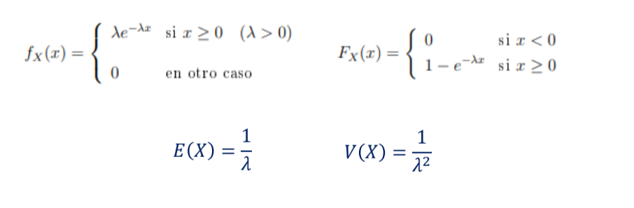
Modelo exponencial

Muestra aleatoria simple
Muestreo aleatorio estratificado
Comprende seleccionar una muestra aleatoria simple de cada uno de un número dado de subpoblaciones
Muestra de cinglomerados
Es una simple muestra aleatoria tomada de los conglomerados disponibles en la población.
Muestra aleatoria sistemática 1 en k
Selección aleatoria de uno de los primeros k elementos de una población ordenada y luego la selección sistemática de cada k-éstimo elementos de ahí en adelante.
Teorema del límite central
La función de distribución de la suma de n variables aleatorias, se aproxima bien a la de una distribución normal.

Error estándar
La desviación estándar de una estadística empleada como estimador de un parámetro poblacional también se denomina error estándar del estimador (SE). La desviación estándar de x techo, dada por o cursiva 😃/ raiz de n, se conoce como error estándar de la media (SE(x techo) o solo SE).
Distribución de la proporción muestral

Distribución chi cuadrado

Distribución t student

Distribución Fn,m

Estimación puntual
Un estimador es una regla, generalmente expresada como fórmula, que nos dice cómo calcular una estimación basada en información de la muestra. La estimación puntual calcula un solo número para estimar el parámetro poblacional
Estimación puntual de la media poblacional

Estimación puntual de una varianza

Estimadores
Método de los momentos y método de máxima verosimilitud
Método de los momentos

Método de máxima verosimilitud