1/62
Looks like no tags are added yet.
Name | Mastery | Learn | Test | Matching | Spaced | Call with Kai |
|---|
No analytics yet
Send a link to your students to track their progress
fosgeen

isopreen

steroïd

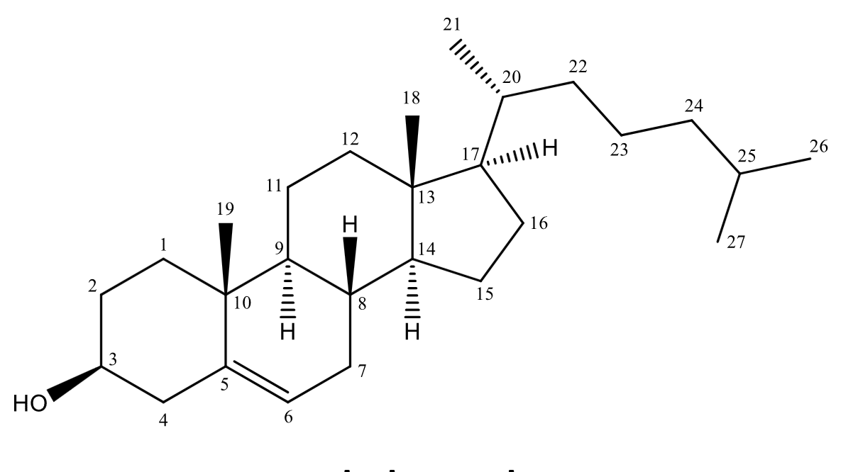
cholesterol (herken)
belangrijk in lichaam
steroïd
(herken)

cortison (herken)
ontstekingsremmend
steroïd
(herken)

prednisolon (herken)
ontstekingsremmend
steroïd
(herken)

naftaleen

antraceen

fluoreen

fenantreen

pyreen

chryseen

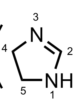
aziridine

azetidine

pyrrolidine

piperidine

oxiraan = epoxide

oxetaan

oxolaan (THF)

oxaan (THP)

thiiraan

thiëtaan

thiolaan (THT)

thiaan

2-azirine = 1H-azirine

2-azetine

3-pyrroline

pyrrool

furaan

thiofeen

1,3,5-triazine

oxazool

thiazool

imidazool

pyrazool

imidazolidine

imidazoline

pyrazolidine

pyrazoline

pyridine

indool

isoindool

pyrimidine

pyrazine

piperazine

pyridazine

morfoline

isoxazool

purine

chinoline

isochinoline

pyrethroïde (herken)
(herken)
cyclopropaanring met op de 3 C’s:
2x methyl
koolstof met daarna een dubbele binding
ester

ACC (1-aminocyclopropaancarbonzuur)

prostaglandine (herken)
(herken)
5-ring met 2 lange ketens er op, waarvan 1 eindigt op een carbonzuur
bestaat uit 20 C’s

decalaan (decaline)

steroïde basisskelet

cholesterol (herken als steroïde)
(herken)

oestradiol (herken als steroïde)
(herken)

testosteron (herken als steroïde)
(herken)

(herken als steroïde)
(herken)

taxol (herken)
(herken) 8 ring

3 polaire aprotische solventen
DMSO = dimethylsulfoxide
DMF = dimethylformamide
acetonitril

LDA
