1/25
Looks like no tags are added yet.
Name | Mastery | Learn | Test | Matching | Spaced | Call with Kai |
|---|
No study sessions yet.
A
smallest R group, CH3

G
no R group

M
looks like M with an S before the end

P
looks like P

I
add an L to the CH2, then draw the I
sec-butyl group

L
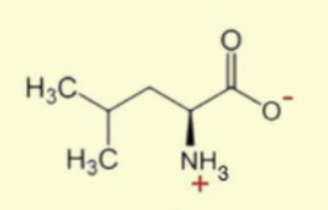
draw an L then connect it to the CH2
isobutyl

V
has V on the CH

F
has benzene ring/phenyl

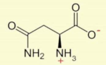
N
CH2 + amide

Q
CH2 + a 2nd C, then amide

C
cyS
CH2 connected to SH

T
three different groups: NH3, OH, CH3

S
simple alcohol

D
same as asp but with an O- instead

E
same as gln but with an O- instead

R
3 C’s for a string, N’s look like an anchor

H
house with a wreath on the chimney and a door on the left

K
add CH2, then 2 L’s because lys is the 2nd one that starts with an L

W
only bicyclic R group, NH goes on bottom left corner, double bond closest to the carbon chain

Y
tyrants like alcohol
tire OH

nonpolar
AGMPILVF
polar
NQCTS
charged
DERHK
aromatic
FWY
amphipathic
Tyr, Trp
phosphorylated
TSY