1/14
Looks like no tags are added yet.
Name | Mastery | Learn | Test | Matching | Spaced | Call with Kai |
|---|
No analytics yet
Send a link to your students to track their progress
What is the definition of the derivative?
f’(x) = limx→a(f(x) - f(a))/(x - a) = limh→a(f(a + h) - f(a))/h by substituting h = x - a
What are the notation for the derivate?
(dy/dx)x=x0 or (dy/dx)| x=x0
f’(x) or f’|x=x0
𝑦̇(x0) or 𝑦̇|x=x0
What does it mean if f is differentiable at x0?
f is continuous at x0 as the limit f’(x0) = limh→0(f(x0 + h) - f(x0))/h exists
What are some derivatives of trig functions?

What is the linear rule?

What is the quotient rule?

What is the product rule?

What is the chain rule?

What is the inverse rule?

What are the inverse trig derivatives?

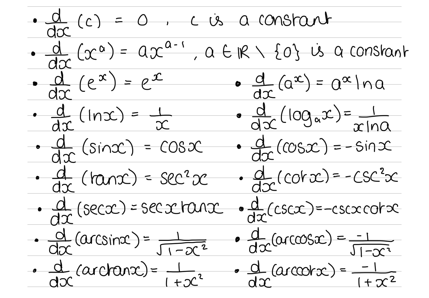
List of all derivatives

What are the definitions of the hyperbolic functions?

What are the identities involving hyperbolic functions?

What are the derivatives of the hyperbolic functions?

What is the log rule (used to differentiate power functions)?
f(x) = elnf(x) (start by taking ln of both sides)