1/57
Looks like no tags are added yet.
Name | Mastery | Learn | Test | Matching | Spaced | Call with Kai |
|---|
No analytics yet
Send a link to your students to track their progress
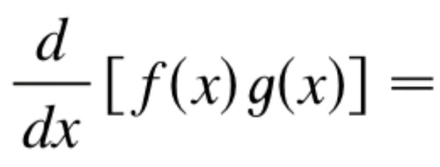
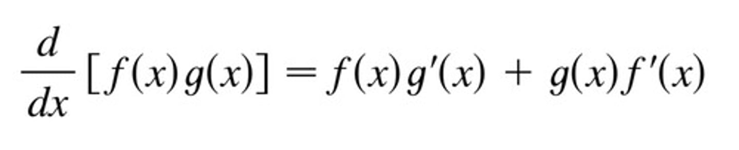
f(x)g'(x) + g(x)f'(x)
product rule

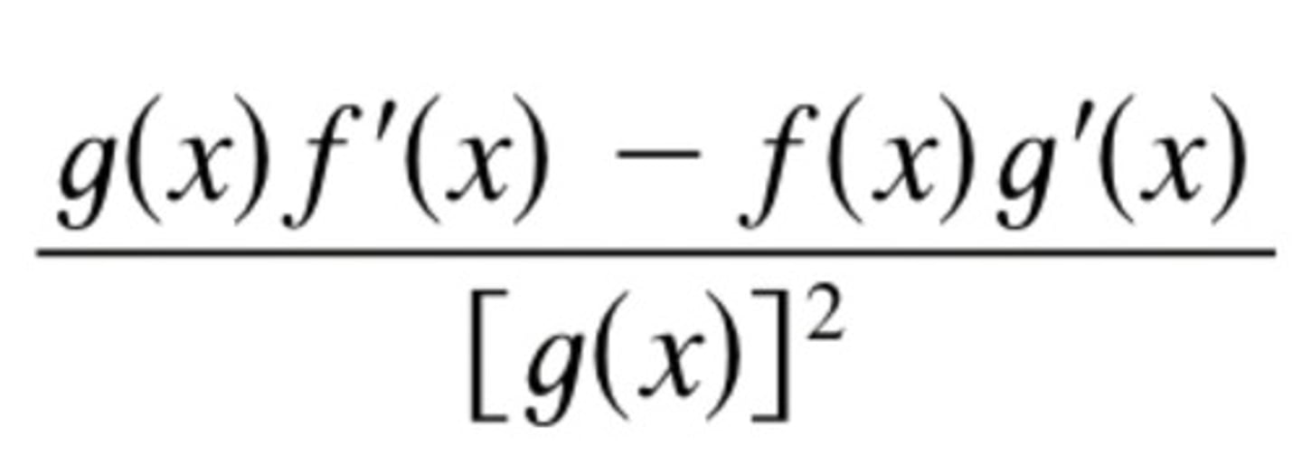
d/dx [f(x)/g(x)] =
quotient rule

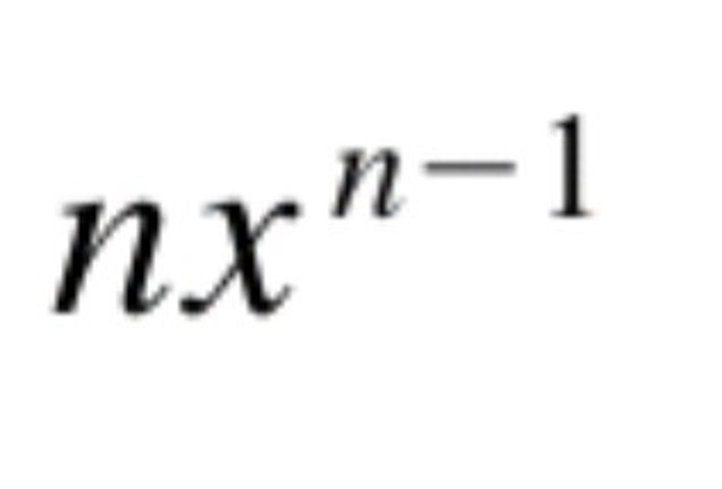
d/dx [x^n] =
power rule

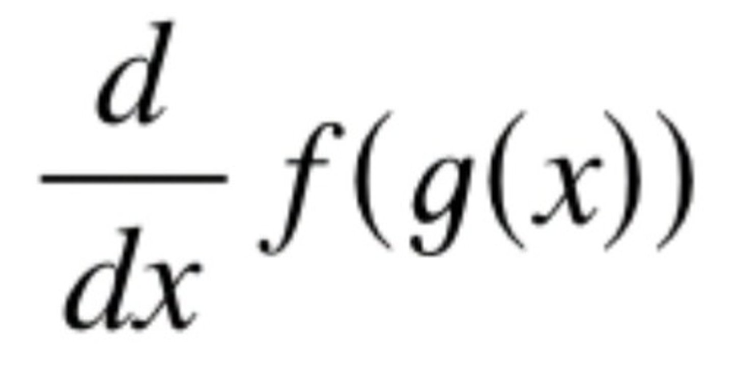
f'(g(x))g'(x)
chain rule

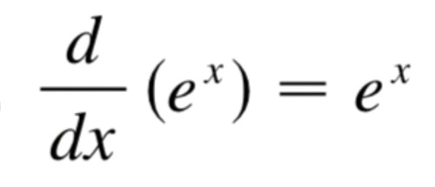
e^x

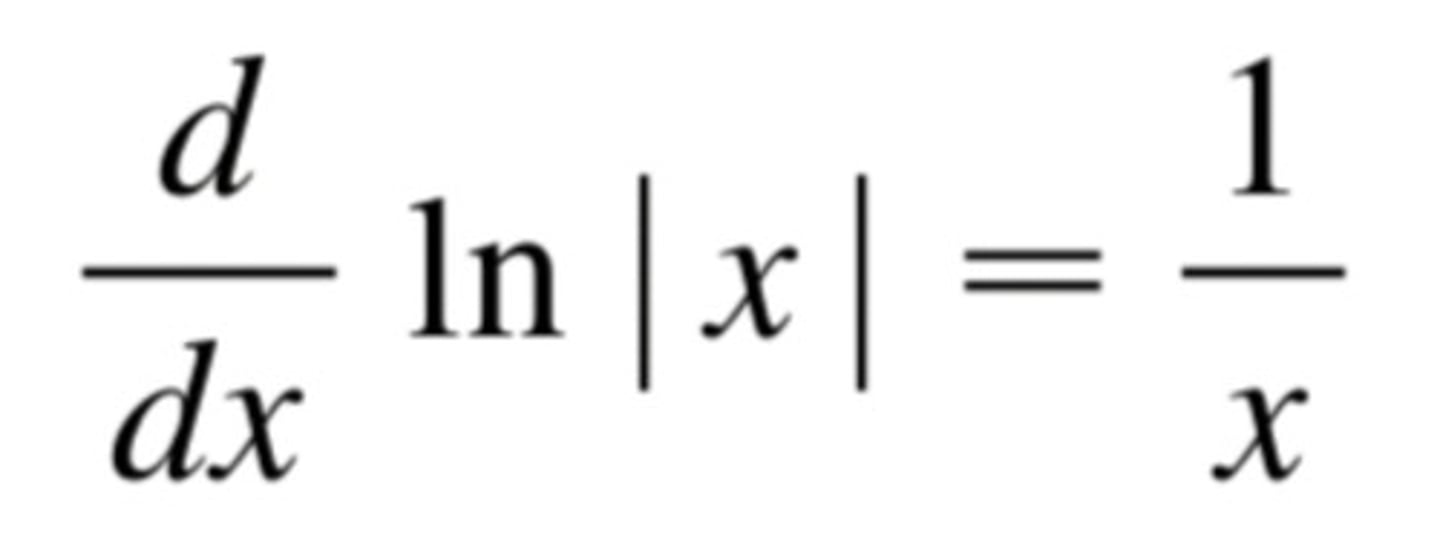
d/dx [ln|x|] =

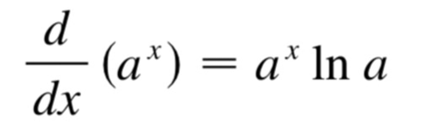
d/dx [a^x] =

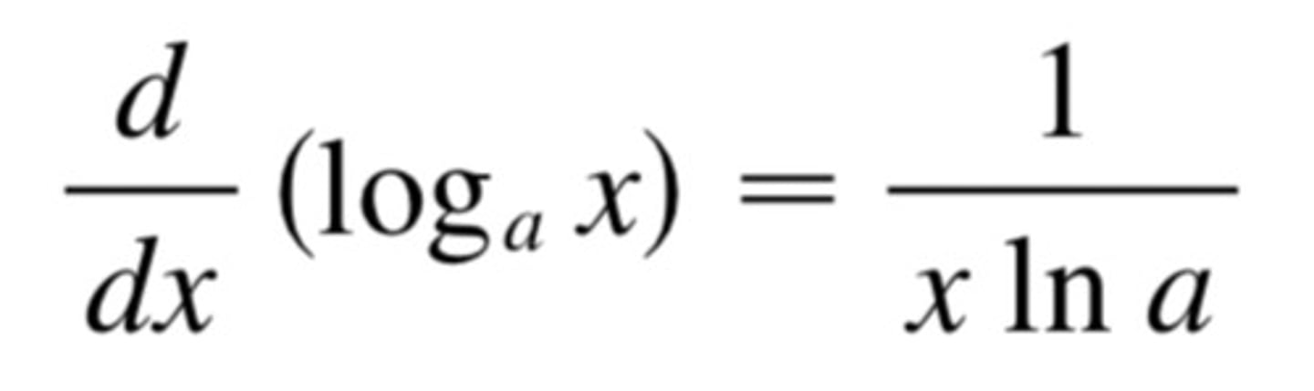
d/dx [log_a X] =

- sinx

secxtanx

- cscxcotx

d/dx [tanx]

d/dx [cotx]

cosx

quotient rule

derivative of a power

chain rule

derivative of an exponential function

derivative of a natural log

d/dx [a^x]

derivative of a log base a

d/dx [sinx]

d/dx [cscx]

d/dx [cosx]

d/dx [secx]

d/dx [tanx]

d/dx [cotx]

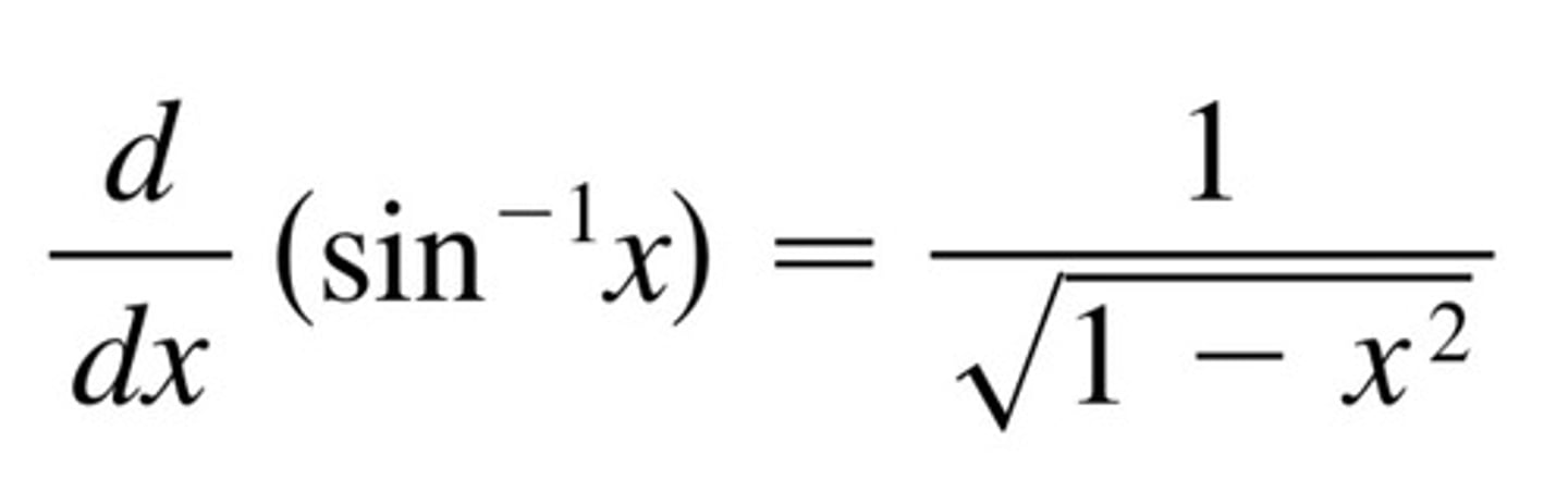
d/dx [arcsinx]

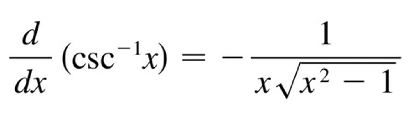
d/dx [arccscx]

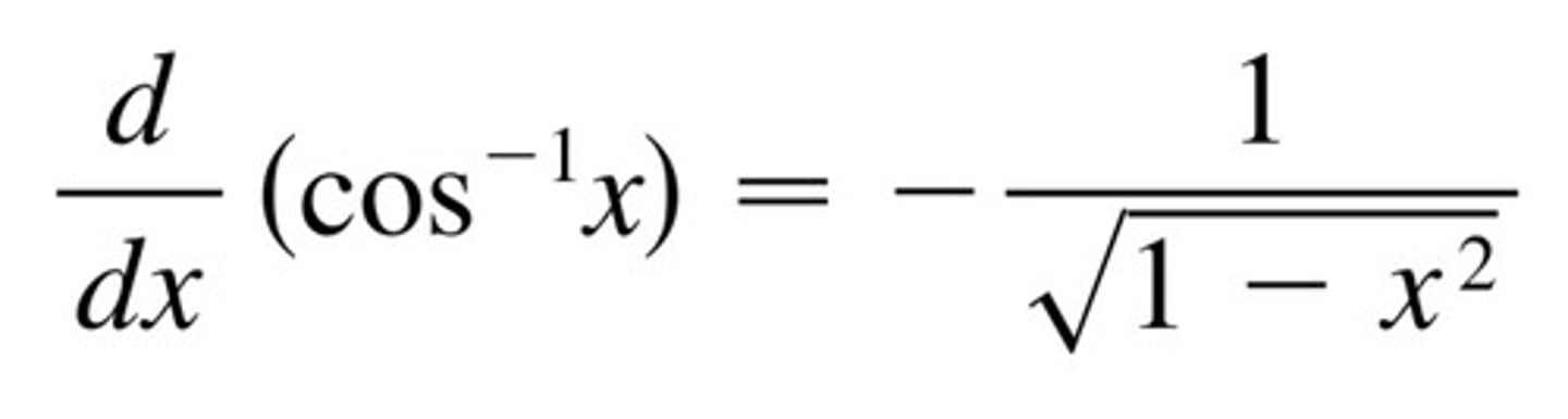
d/dx [arccosx]

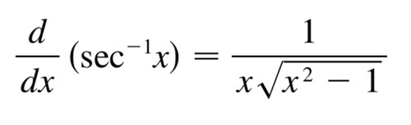
d/dx [arcsecx]

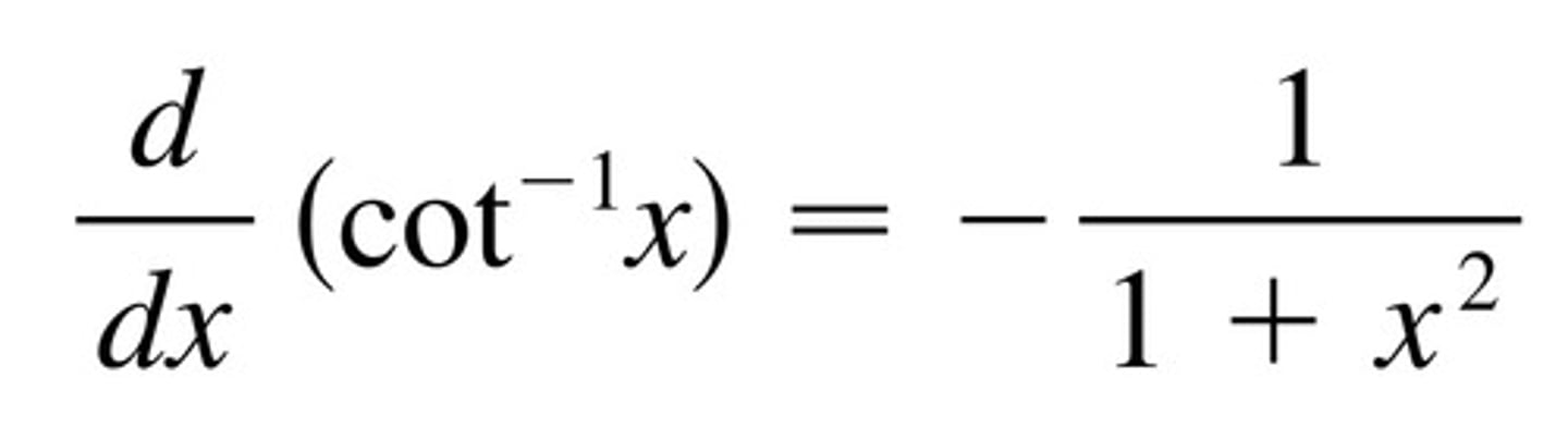
d/dx [arccotx]

product rule

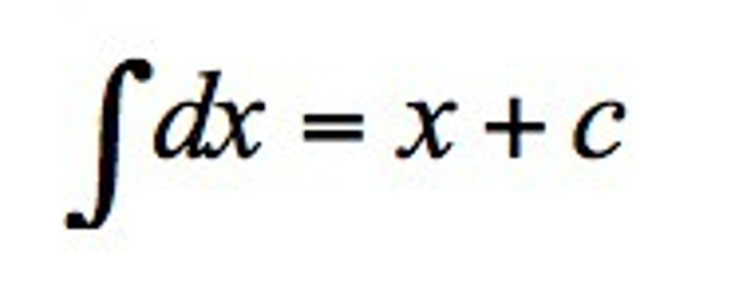
∫dx

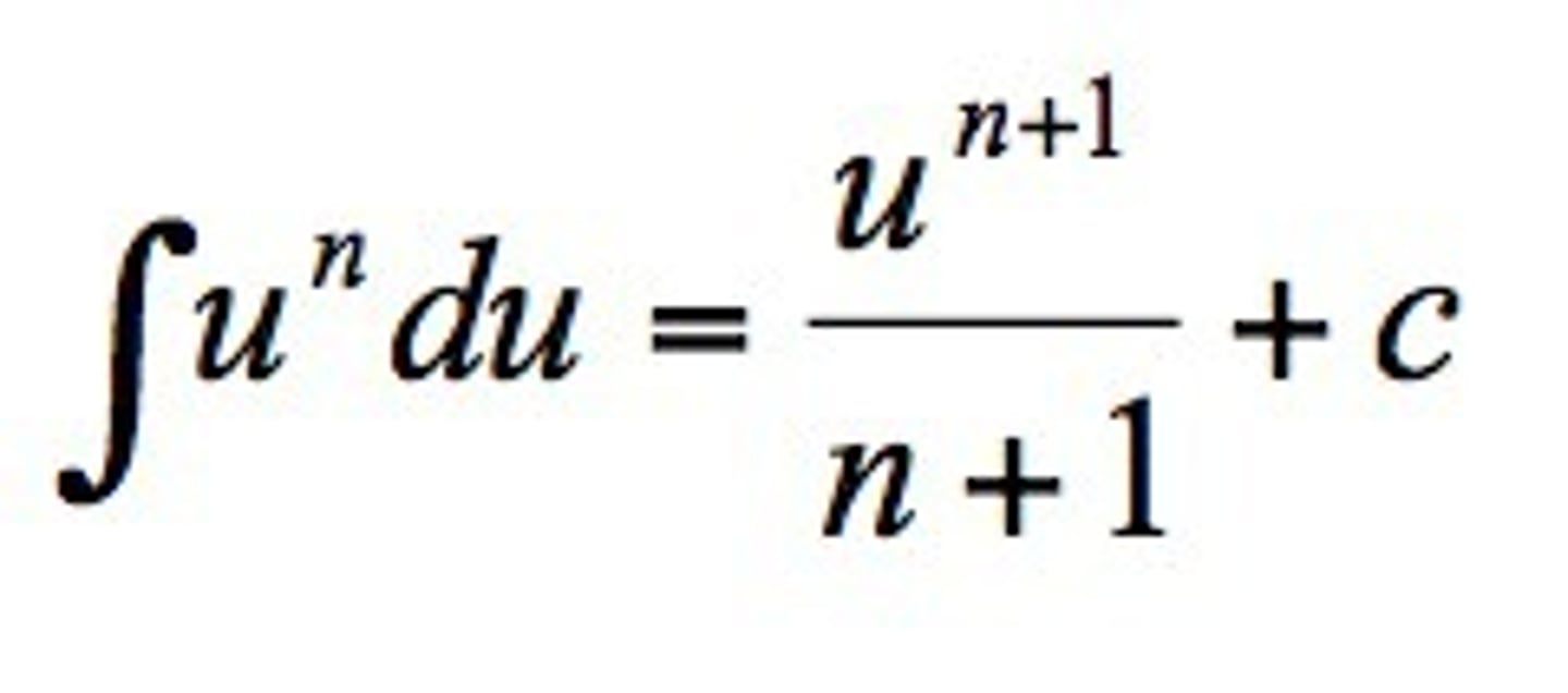
∫uⁿ du

∫e^u du

∫b^u*ln(b) du
∫b^u du

∫cosu du

∫-sinu du

∫sinu du

∫sec²u du

∫-cscu*cotu du

∫cscu*cotu du

∫secu*tanu du

∫-csc²u du

∫csc²u du

∫du/√(1-u²)

∫-du/√(1-u²)
∫du/(1+u²)

∫-du/u√(1-u²)
∫du/u√(1-u²)

∫-du/(1+u²)
∫du/u

∫tan u du
-ln|cos u|+C
∫cot u du
ln|sin u|+C
∫sec u du
ln|sec u+tan u|+C
∫csc u du
-ln|csc u+ cot u|+C