1/12
Looks like no tags are added yet.
Name | Mastery | Learn | Test | Matching | Spaced | Call with Kai |
|---|
No analytics yet
Send a link to your students to track their progress
Alkene
Carbon-Carbon double bond

Alkyne
Carbon-Carbon triple bond

Benzene Ring

Alcohol
Hydroxyl (OH) bonded to a carbon

Thiol
-SH bonded to a carbon atom

Ether
Oxygen atom bonded to two carbon atoms

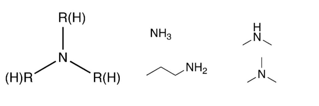
Amine
Nitrogen bonded to carbon

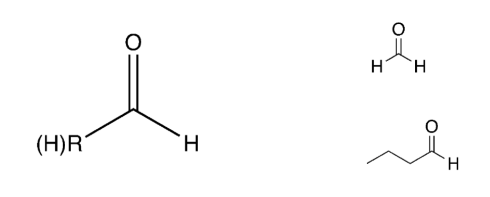
Aldehyde
Carbonyl with a hydrogen

Ketone
Carbon of a carbonyl only attatched to 2 other carbons

Carboxylic Acid
Carboxyl group attatched to a hydroxyl group

Ester
CO2 group between 2 carbon atoms

Amide
Carbonyl attatched to a nitrogen atom
