1/38
Looks like no tags are added yet.
Name | Mastery | Learn | Test | Matching | Spaced | Call with Kai |
|---|
No study sessions yet.


Hg(OAc)2, H20 | THF (Solvent) | NaBH4


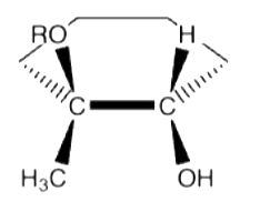
Hg(OAc)2, HOR | THF (Solvent) | NaBH4





BH3, THF (Solvent), H2O2, NaOH



HBr, Peroxides



HX



Br2


MCPBA



NaRO, H2SO4



H+, HOR



Br2, HOR



BH3, THF | H2O2, NaOH, H2O



H2, Pt or Pd (Ring)



H2, Pt or Pd



H2, Ni2B OR H2, Lindlar Catalyst



Na0, NH3



PCC



KMnO4 OR Na2Cr2O7/acid/water OR CrO3/acid/water OR PCC



KMnO4 OR Na2Cr2O7/acid/water OR CrO3/acid/water



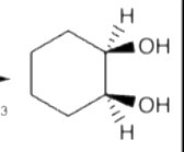
OsO4 | H2O2 or NaHSO3



Ozone (O3) | Zn, Acetic Acid



KMnO4 (hot) | H3O+, H2O



HX



X2



H2O, H2SO4, HgSO4



BH3, THF | H2O2, NaOH, H2O



NaNH2






HX



SOCl2 OR PBr3



Nucleophile



NaOH OR KOH



NaOR



NaNH2, RCH2LG



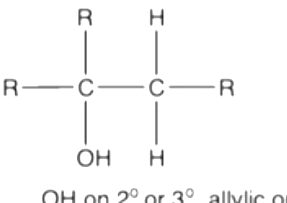
Weak Base, Polar Protic Solvent, Heat



Acid (H2SO4 or H3PO4), Heat



Small Base (NaOH) (Zaitsev)



Large Base (NaOCH(CH3)2)



Cl2, light (hv)



Br2, hv