1/24
Looks like no tags are added yet.
Name | Mastery | Learn | Test | Matching | Spaced | Call with Kai |
|---|
No analytics yet
Send a link to your students to track their progress
Return
The amount of money gained or lost on an investment over a certain period of time.
Annualized Return

Expected Return

Risk
Defined as the possibility that the realized or actual return will differ from the expected return.
Standard Deviation

Market Risk
Also known as systematic risk, is the possibility of an investor experiencing losses due to factors that affect the overall performance of the financial markets in which they are involved.
Market Risk Factors
Unexpected changes in interest rates
Unexpected changes in cash flows due to tax changes
Business cycle changes
Firm-Specific Risk Factors
A company’s labor force goes on strike.
A company’s top management dies in a plane crash.
An oil tank bursts and floods a company’s production area.
Diversification
A strategy of increasing the variety of goods or services a business offers, or expanding into new markets, to reduce reliance on a single product or customer base.
Correlation
A statistical measure that describes the extent to which two variables change together, indicating the strength and direction of their linear relationship.
Which type of risk can be diversified away?
Firm-specific risk
Diversification allows investors to maximize returns by keeping much of their portfolio in a single asset.
False
Proper diversification should reduce the riskiness associated with a portfolio.
True
A well diversified portfolio should have a lower standard deviation of expected returns than an undiversified portfolio.
True
Adding another asset to a portfolio will always reduce the riskiness of the portfolio.
False
A portfolio of Microsoft Co. and Apple Computers is better diversified than a portfolio made up of Microsoft Co. and John Deere Tractors.
False
Fisher Effect
Approximates the components of the risk-free rate of interest. (Nominal rate = real rate + inflation rate)
Ex ante
Forward looking (Rf = R.real + Inflation)
Ex post
After the fact, i.e, actual (Rf = R.real + Actual measured rate of inflation)
Which type of risk can not be diversified away?
Systematic Risk
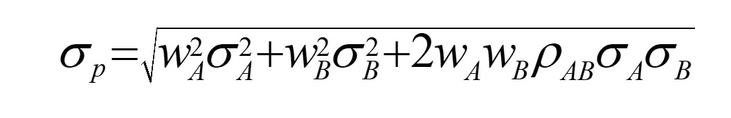
Two-Asset Portfolio

Perfect Positive Correlation
+1
Perfect Negative Correlation
-1
No relationship
0 (Zero)
CAPM Equation
