1/13
Looks like no tags are added yet.
Name | Mastery | Learn | Test | Matching | Spaced | Call with Kai |
|---|
No analytics yet
Send a link to your students to track their progress
co giãn của cầu theo giá chéo là gì
thước đo mức độ phản ứng của cầu hàng hoá với sự thay đổi giá của hàng hoá khác (hàng hoá thay thế hoặc hàng hoá bổ sung), ceteris paribus
co giãn chéo của cầu =
thay đổi phần trăm của lượng cầu X/ thay đổi phần trăm của giá Y
EDXY=

EX,Y=0
X và Y là hàng hoá độc lập
EX,Y>0
X và Y là hàng hoá thay thế
Ex,y<0
X và Y là hàng hoá bổ sung
Co giãn của cầu theo thu nhập
thước đo mức độ phản ứng của cầy với sự thay đổi của thu nhập, ceteris paribus
công thức tính co giãn của cầu theo thu nhập

0 < EI < 1
Thiết yếu
EI > 1
Xa xỉ
EI < 0
Thứ cấp
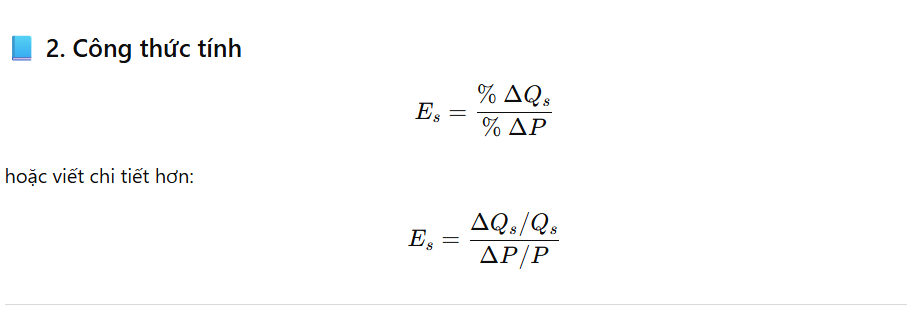
co giãn của cung theo giá
đo lường mức độ phản ứng của lượng cung (Qs) khi giá hàng hóa (P) thay đổi.
công thức tính độ co giãn của cung theo giá

Yếu tố ảnh hưởng đến độ co giãn của cung
khoảng thời gian khi giá thay đổi
khả năng sản xuất dịch vụ