1/13
1A
Name | Mastery | Learn | Test | Matching | Spaced | Call with Kai |
|---|
No analytics yet
Send a link to your students to track their progress

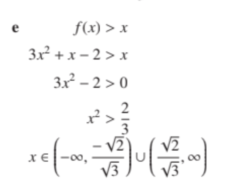
(-infinity, 0)

If −8 and −2 were excluded, the notation would be: R \ [-8, -2]
![<p>If −8 and −2 were excluded, the notation would be: R \ [-8, -2]</p><p></p>](https://knowt-user-attachments.s3.amazonaws.com/41658bcc-8d4a-4e3d-a037-dea8a8e30093.png)





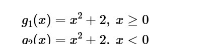
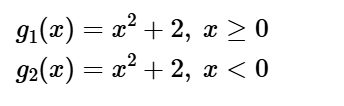
bitch it’s a truncus 😐

iii, vi

they can’t overlap so yuh


clue: what shape is this
it’s a circle…


just g btw. clue: what type of graph is this?
draw the shape.

[3,12]



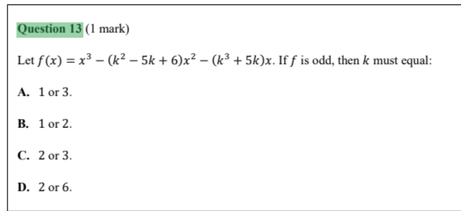
odd, even, or neither?
even




