1/45
Looks like no tags are added yet.
Name | Mastery | Learn | Test | Matching | Spaced | Call with Kai |
|---|
No analytics yet
Send a link to your students to track their progress
definition of a limit function

conditions under which limits do not exist

direct substitution property

properties of limits

limit of a composite function

squeeze theorem

definition of a one-sided limit

definition of continuity

theorem

intermediate value theorem

definition of vertical asymptote

properties of infinite limits

definition of derivative

definition of a tangent line

theorem

fermat’s theorem

critical number

the extreme value theorem

intermediate value theorem

rolle’s theorem

the mean value theorem

increasing/decreasing test

the first derivative test

definition of concavity

concavity test

inflection point

the second derivative test

limits at infinity

horizontal asymptote

linearization, standard linear approximation

antiderivative

theorem

approximating area

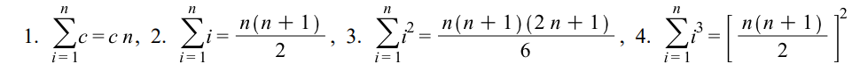
summation formulas

area

definition of a definite integral

properties of the definite integrals

comparison properties of the definite integral

theorem

the fundamental theorem of calculus

the mean value theorem for integrals

the second fundamental theorem of calculus

net change theorem

the substitution rule for indefinite integrals

the substitution rule for definite integrals

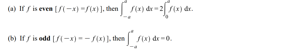
integrals of symmetric functions
