1/32
Looks like no tags are added yet.
Name | Mastery | Learn | Test | Matching | Spaced | Call with Kai |
|---|
No analytics yet
Send a link to your students to track their progress
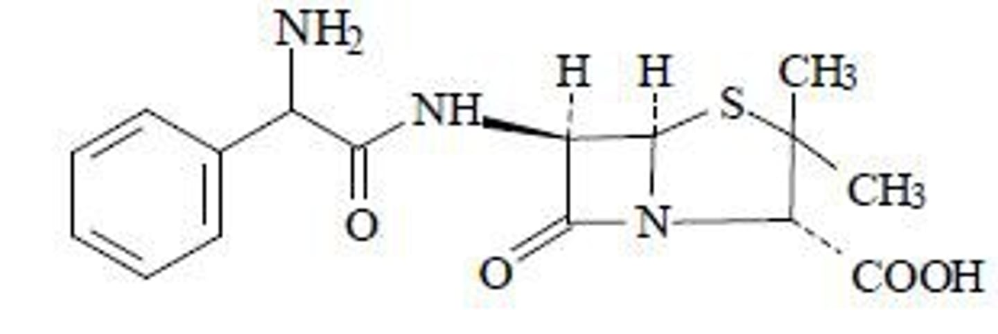
Amoxicillin

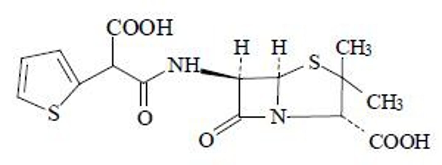
Ampicillin

Piperacillin

Ticarcillin

Cloxacillin
Isoxazole ring

Methicillin

Clavulanic acid

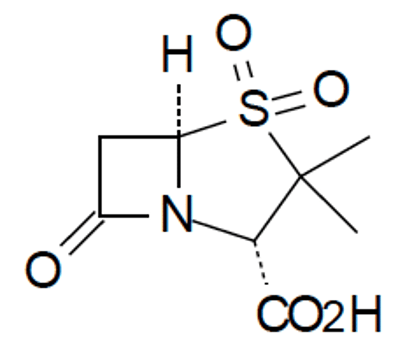
Sulbactam

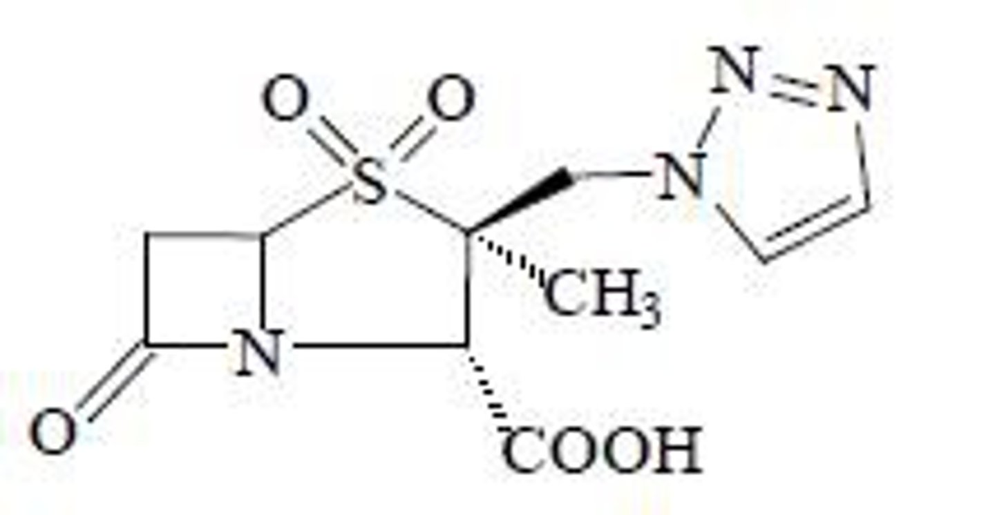
Tazobactam
Triazole ring

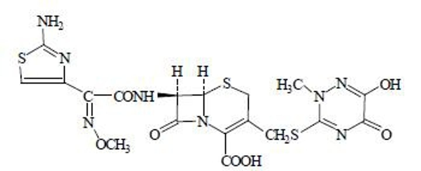
Cefotaxime

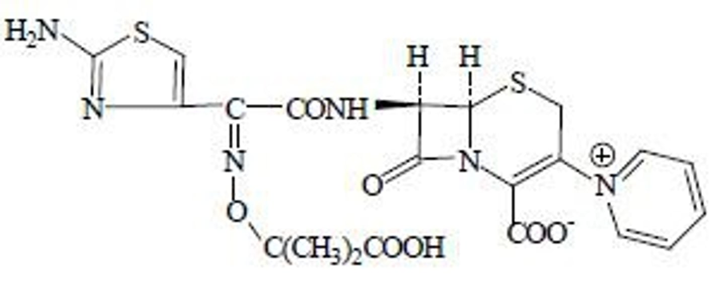
Ceftriaxone

Ceftazidime
Protonated pyridine

Cefixime

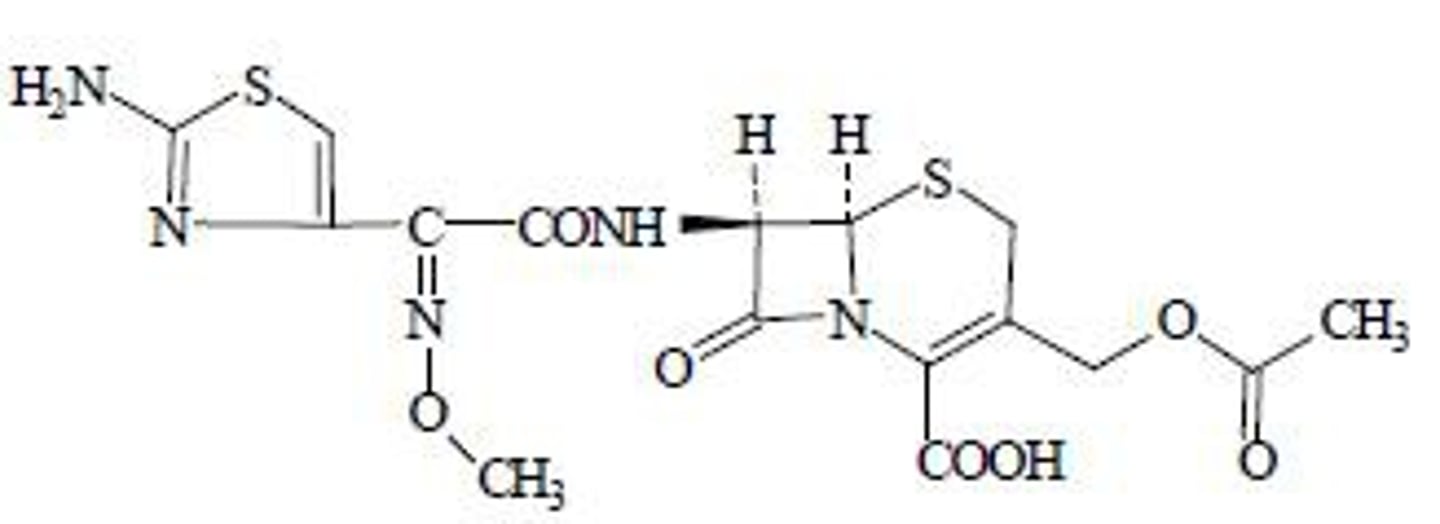
Cefuroxime axetil
Furan ring

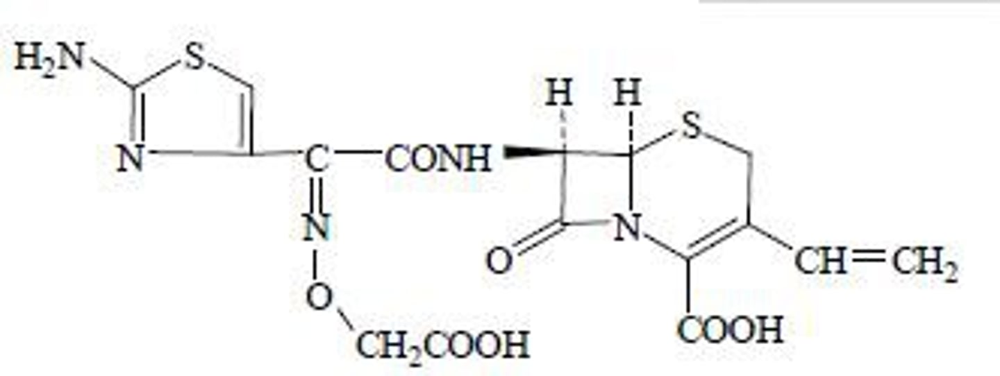
Cefepime
Protonated pyrrolidine ring

Imipenem

Meropenem
Pyrrolidine ring

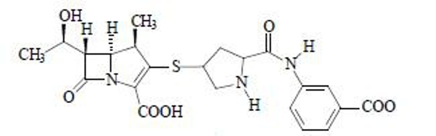
Ertapenem
Pyrrolidine ring

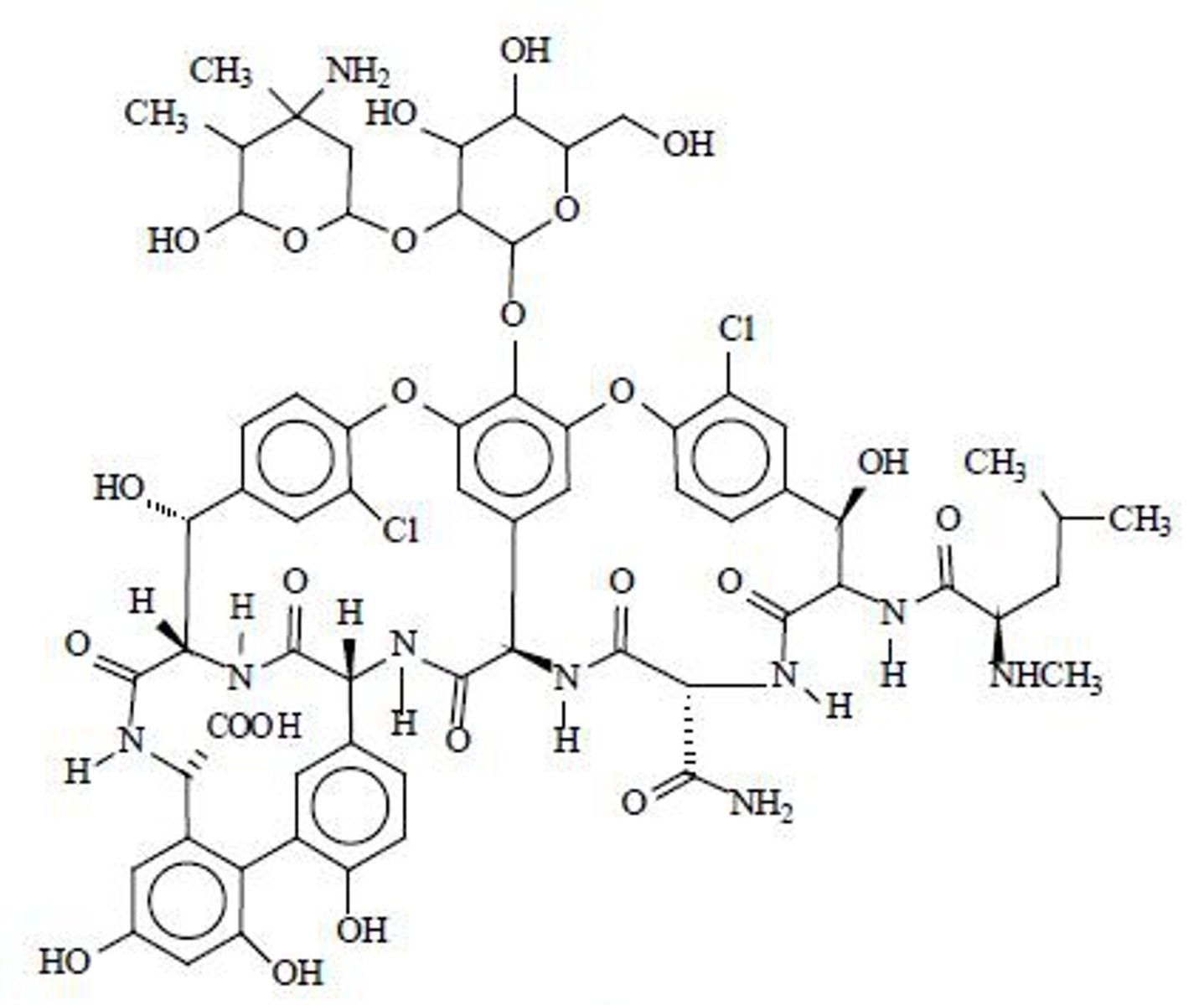
Vancomycin

Doxycycline

Tigecycline

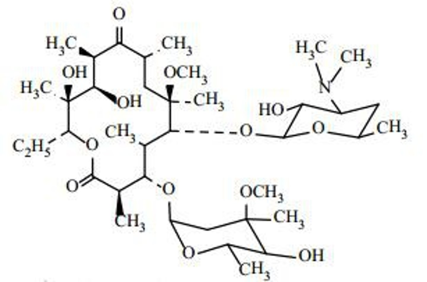
Clarithromycin

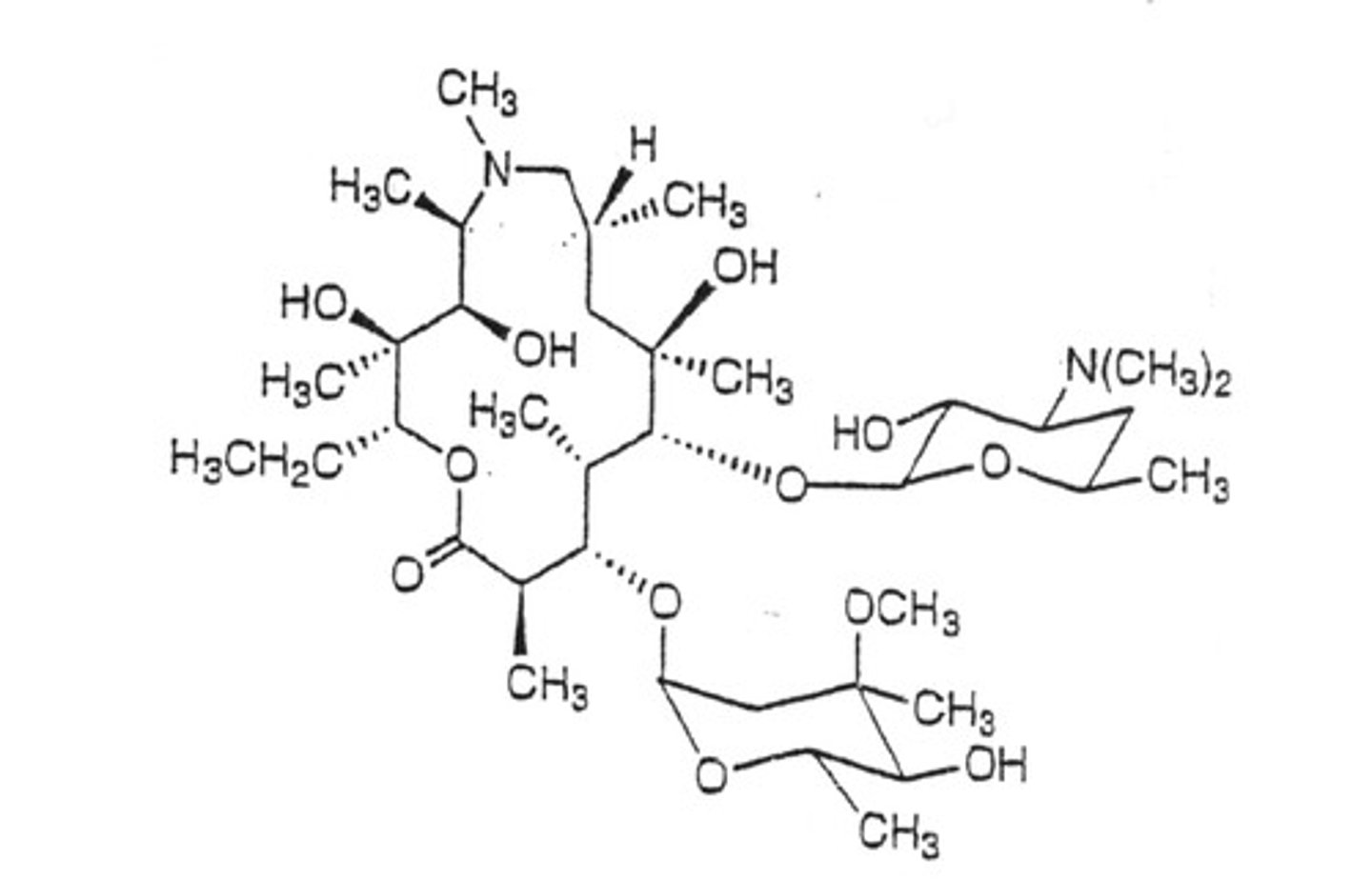
Azithromycin

Clindamycin

Ciprofloxacin

Levofloxacin

Moxifloxacin

Sulfamethoxazole
Isoxazole ring

Trimethoprim

Fidaxomicin

Metronidazole
Imidazole ring

Oseltamivir

Nirmaltrelvir
