matematyka

5.0(1)
studied byStudied by 19 people
full-widthCall with Kai
GameKnowt Play
learnLearn
examPractice Test
spaced repetitionSpaced Repetition
heart puzzleMatch
flashcardsFlashcards
Card Sorting

1/118

encourage image

There's no tags or description

Looks like no tags are added yet.

Study Analytics
Name
Mastery
Learn
Test
Matching
Spaced

No study sessions yet.

119 Terms

1
New cards

Funkcja pierwotna F, definicja

knowt flashcard image
2
New cards

Twierdzenie o funkcji pierwotnej f na przedziale I

<p></p><p></p>
3
New cards

warunek wystraczający istnienia funkcji pierwotnej, twierdzenie

Jeżeli funkcja f jest ciągła na przedziale I, to funkcja f ma funkcję pierwotną na przedziale I.

4
New cards

Całka nieoznaczona funkcji f na przedziale I, definicja

knowt flashcard image
5
New cards

twierdzenia o pochodnych całek

knowt flashcard image
6
New cards

Twierdzenie o liniowości całki nieoznaczonej

knowt flashcard image
7
New cards

Twierdzenie o całkowaniu przez części

knowt flashcard image
8
New cards

Twierdzenie o całkowaniu przez podstawienie

knowt flashcard image
9
New cards

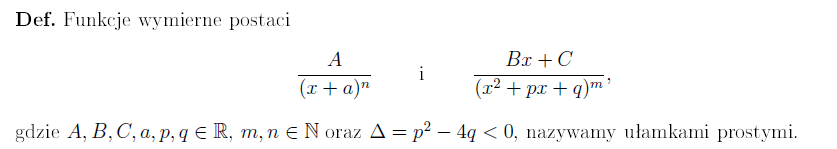
Definicja ułamków

knowt flashcard image
10
New cards

11
New cards

Definicja sumy całkowej funkcji f dla podziału P i punktów pośrednich x_1, x_2,…, x_n

<p></p>
12
New cards

Definicja całki oznaczonej Riemanna funkcji f na przedziale [a,b]

knowt flashcard image
13
New cards

warunek wystarczający całkowalności funkcji- twierdzenie

knowt flashcard image
14
New cards

Twierdzenie Newtona-Leibniza, główne twierdzenie rachunku całkowego

knowt flashcard image
15
New cards

Twierdzenie o liniowości całki oznaczonej

knowt flashcard image
16
New cards

Twierdzenie o całkowaniu przez części dla całki oznaczonej

knowt flashcard image
17
New cards

Twierdzenie o całkowaniu przez podstawienie dla całki oznaczonej

knowt flashcard image
18
New cards

Definicja funkcji górnej granicy całkowania

knowt flashcard image
19
New cards

Twierdzenie o ciągłości funkcji górnej granicy całkowania

knowt flashcard image
20
New cards

Twierdzenie o różniczkowalności funkcji górnej granicy całkowania

knowt flashcard image
21
New cards

Pole trapezu krzywoliniowego

knowt flashcard image
22
New cards

Definicja całki niewłaściwej pierwszego rodzaju

knowt flashcard image
23
New cards

Warunek konieczny zbieżności całki niewłaściwej I rodzaju

knowt flashcard image
24
New cards

Twierdzenie o całce niewłaściwej rozbieżnej i zbieżnej

knowt flashcard image
25
New cards

Twierdzenie o kryterium porównawczym dla całki niewłaściwej I rodzaju

knowt flashcard image
26
New cards

Twierdzenie o kryterium ilorazowym dla całki niewłaściwej I rodzaju

knowt flashcard image
27
New cards

Definicja całki bezwzględnie zbieżnej

knowt flashcard image
28
New cards

Twierdzenie dla całki bezwzględnie zbieżnej

knowt flashcard image
29
New cards

Definicja całki niewłaściwej II. rodzaju

knowt flashcard image
30
New cards

kryterium porównawcze dla całki niewłaściwej II rodzaju

knowt flashcard image
31
New cards

kryterium ilorazowe dla całki niewłaściwej II rodzaju

knowt flashcard image
32
New cards

Definicja liczby zespolonej

knowt flashcard image
33
New cards

Definicja płaszczyzny zespolonej

knowt flashcard image
34
New cards

Definicja jednostki urojonej

knowt flashcard image
35
New cards

Definicja równości liczb zespolonych

knowt flashcard image
36
New cards

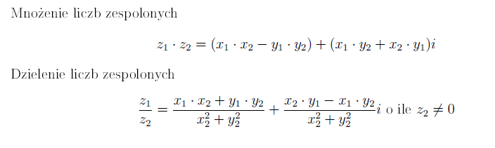
Mnożenie i dzielenie liczb zespolonych

knowt flashcard image
37
New cards

wzór Moivre’a

knowt flashcard image
38
New cards

Twierdzenie o pierwiastkach zespolonych

knowt flashcard image
39
New cards

Zasadnicze twierdzenie algebry

knowt flashcard image
40
New cards

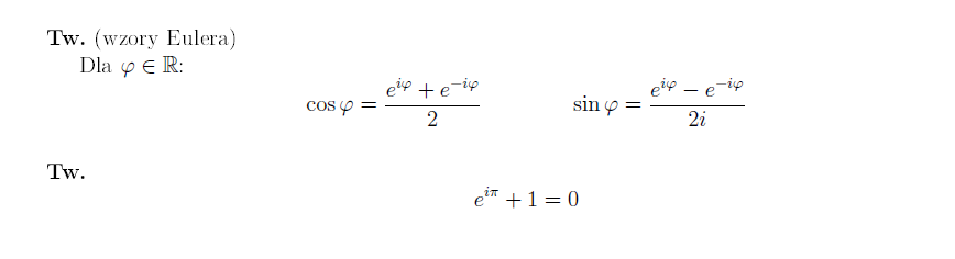
wzory Eulera

knowt flashcard image
41
New cards

Definicja macierzy rzeczywistej

knowt flashcard image
42
New cards

Definicja macierzy równych

knowt flashcard image
43
New cards

Definicja macierzy przekątniowej

knowt flashcard image
44
New cards

Definicja macierzy transponowanej

knowt flashcard image
45
New cards

macierz symetryczna, definicja

knowt flashcard image
46
New cards

definicja macierzy antysymetrycznej

knowt flashcard image
47
New cards

definicja wyznacznika macierzy kwadratowej

knowt flashcard image
48
New cards

definicja dopełnienia algebraicznego

knowt flashcard image
49
New cards

Twierdzenie Laplace’a

knowt flashcard image
50
New cards

Twierdzenie o wyznaczniku macierzy trójkątnej

knowt flashcard image
51
New cards

Twierdzenie o wyznaczniku macierzy transponowanej

knowt flashcard image
52
New cards

Twierdzenie Cauchy’ego o wyznaczniku iloczynu macierzy

knowt flashcard image
53
New cards

Definicja macierzy osobliwej

knowt flashcard image
54
New cards

Definicja macierzy odwrotnej

knowt flashcard image
55
New cards

Twierdzenie o macierzy odwrotnej

knowt flashcard image
56
New cards

Definicja macierzy dopełnień algebraicznych

knowt flashcard image
57
New cards

Definicja układu Cramera

knowt flashcard image
58
New cards

Twierdzenie Cramera

knowt flashcard image
59
New cards

Wzory Cramera

knowt flashcard image
60
New cards
61
New cards

Definicja minora stopnia k

knowt flashcard image
62
New cards

Definicja rzędu macierzy

knowt flashcard image
63
New cards

Definicja elementów liniowo zależnych i liniowo niezależnych

knowt flashcard image
64
New cards

Definicja kombinacji liniowej elementów

knowt flashcard image
65
New cards

Twierdzenie Kroneckera-Capellego

knowt flashcard image
66
New cards

Definicja układów równoważnych

knowt flashcard image
67
New cards

Definicja przestrzeni R³

knowt flashcard image
68
New cards

Definicja punktów współliniowych

knowt flashcard image
69
New cards

Definicja punktów współpłaszczyznowych

knowt flashcard image
70
New cards

Definicja wektorów równoległych

knowt flashcard image
71
New cards

Twierdzenie o wektorach równoległych

knowt flashcard image
72
New cards

Twierdzenie o wektorach współpłaszczyznowych

knowt flashcard image
73
New cards

Definicja elementów liniowo zależnych i niezależnych

knowt flashcard image
74
New cards

Wzory Sarrusa

knowt flashcard image
75
New cards

Definicja orientacji wektorów

knowt flashcard image
76
New cards

Twierdzenie o równaniu płaszczyzny przechodzącej przez 3 punkty

knowt flashcard image
77
New cards

Definicja prostych skośnych

knowt flashcard image
78
New cards

Definicja rzutu prostokątnego na płaszczyznę pi

knowt flashcard image
79
New cards

Definicja punktu symetrycznego do punktu P

knowt flashcard image
80
New cards

Definicja rzutu punktu na prostą

knowt flashcard image
81
New cards

Definicja kątu nachylenia prostej l do płaszczyzny pi

knowt flashcard image
82
New cards

Definicja przestrzeni trójwymiarowej

knowt flashcard image
83
New cards

Odległość euklidesowa, definicja

knowt flashcard image
84
New cards

Definicja otoczenia punktu P

knowt flashcard image
85
New cards

Definicja sąsiedztwa punktu P

knowt flashcard image
86
New cards

Punkt wewnętrzny zbioru, definicja

knowt flashcard image
87
New cards

Definicja zbioru otwartego

knowt flashcard image
88
New cards

Definicja punktu brzegowego

knowt flashcard image
89
New cards

Definicja brzegu zbioru

knowt flashcard image
90
New cards

Definicja zbioru domkniętego

knowt flashcard image
91
New cards

Definicja obszaru

knowt flashcard image
92
New cards

Definicja zbioru ograniczonego

knowt flashcard image
93
New cards

Definicja funkcji n zmiennych

knowt flashcard image
94
New cards

Definicja dziedziny funkcji

knowt flashcard image
95
New cards

Definicja poziomicy

knowt flashcard image
96
New cards

Definicja ciągu punktów płaszczyzny

knowt flashcard image
97
New cards

definicja granicy właściwej

knowt flashcard image
98
New cards

Definicja granicy niewłaściwej

knowt flashcard image
99
New cards

Definicja ciągłości funkcji

knowt flashcard image
100
New cards

Twierdzenie Weierstrassa

knowt flashcard image