MCAT Physics

0.0(0)
studied byStudied by 3 people
full-widthCall with Kai
GameKnowt Play
learnLearn
examPractice Test
spaced repetitionSpaced Repetition
heart puzzleMatch
flashcardsFlashcards
Card Sorting

1/139

encourage image

There's no tags or description

Looks like no tags are added yet.

Study Analytics
Name
Mastery
Learn
Test
Matching
Spaced

No study sessions yet.

140 Terms

1
New cards

Degrees - Radians - Sine - Cosine - Tangent

knowt flashcard image
2
New cards

SOH CAH TOA

Sine = Opposite / Hypotenuse

Cosine = Adjacent / Hypotenuse

Tangent = Opposite / Adjacent

3
New cards

Two Special Right Triangles

45-45-90

30-60-90

4
New cards

The 45-45-90 Triangle

1 - 1 - sqrt(2) triangle for the lengths of the sides

sin(45) = sqrt(2) / 2 = cos(45) [both the same]

tan(45) = 1

If theta < 45, then tan(theta) < 1

If theta > 45, then tan(theta) > 1

5
New cards

The 30-60-90 Triangle

1 - sqrt(3) - 2 triangle for the lengths of the sides

sin(30) = ½ ; cos(30) = sqrt(3) / 2 ; tan(30) = sqrt(3) / 3

cos(30) > sin(30) and tan(30) < 1

sin(60) = sqrt(3) / 2 ; cos(60) = ½ ; tan(60) = sqrt(3)

cos(60) < sin(60) and tan(60) > 1

6
New cards

Decimal Approximations:

sqrt(2)

sqrt(3)

sqrt(3) / 3

sqrt(2) / 2

sqrt(3) / 2

sqrt(2) = 1.4

sqrt(3) = 1.7

sqrt(3) / 3 = 0.577

sqrt(2) / 2 = 0.7

sqrt(3) / 2 = 0.866 = 13/15

7
New cards
term image

B. 14 + 4(sqrt(3))

Ratio of AB to BC is sqrt(3) : 1, so we must multiple by 4 to get BC = 4 so AB = 4 x sqrt(3)

8
New cards

N = bk solve for b and k

logb(N) = k

<p>log<sub>b</sub>(N) = k</p>
9
New cards

Limit the Bases

  1. Common logs (base 10): written log (N), that is, w/o any explicit base

  2. Natural logs (base e): written ln(N)

10
New cards

The number e (Euler’s constant)

e = ~2.718

11
New cards

Common Logs

log(10) = 1

log(100,000) = 5

log(1/100) = log(10-2) = -2

12
New cards

N = 10k → log(10k) = k

substitute

log(N) = k → N = 10log(N)

13
New cards

If log(N) goes up by 1, this means N gets…

If log(N) goes up by 3, N gets…

If log(N) goes down by 1, N gets…

If log(N) goes down by 5, N gets…

10x bigger

1000x bigger

Divided by 10

Divided by 100,000

14
New cards

sqrt(10) = 101/2 → sqrt(10) = ~3

If log(N) increases by 1/2, then N is multiplied by ~3

If log(N) decreases by 1/2, then N is divided by ~3

15
New cards
term image

B. 100,000

<p>B. 100,000</p>
16
New cards

pH = -log[H+]

When pH goes down, the concentration of H+ ions goes up

pH < 7 = acidic and high # of H+ ions

pH > 7 = basic and small # of H+ ions

17
New cards

Sound Intensity and Decibels

B = 10 log(I / I0)

I = the intensity of the sound wave itself

I0 = the reference intensity, typically, the minimal threshold of human hearing

B = the decibel value, which approximates how loud the sound seems to human perception

18
New cards

For every additional factor of 10 bu which I is multiplied, we add 1 to the logarithm…

The 1 is then multiplied by 10, so multiplying I by 10N adds 10N to B (to the decibel)

Example:

Decibels increase by 25 = 2.5 has been added to the logarithm itself

Adding 2 means I is multiplied by 102 = 100 and adding 0.5 means I is multiplied by sqrt(10) = ~3

So I is multiplied by 300

19
New cards
term image

B. 5.6

Increasing [H+] makes urine more acidic = lower pH

<p>B. 5.6</p><p>Increasing [H<sup>+</sup>] makes urine more acidic = lower pH</p>
20
New cards
term image

C. 250,000

<p>C. 250,000</p>
21
New cards

Rules of Significant Figures

  1. All non-zero digits shown are significant

  2. All zeros between non-zero digits are automatically significant

  3. Ordinarily, all place-holding zeros would NOT be significant

  4. Zeros tot he right of both the decimal point and all non-zero digits have no place-holding role and would be shown only if they were significant

  5. A line over a zero makes it a significant digit (or write the decimal)

22
New cards

Arithmetic with Significant Figures

  1. Addition/Subtraction Rule

    1. Place value: whichever term is measured to the least precise place limits the whole calculation

  2. Multiplication/Division Rule

    1. Number of digits: whichever factor has the fewest digits limits the digits in the result

23
New cards
<p></p>

B. 9.0 × 1023 atoms

24
New cards

Basic Laws of Exponents:

Treat the number in front and the powers of tens separately

<p>Treat the number in front and the powers of tens separately</p>
25
New cards
term image

C. 5.7 × 1027 W

<p>C. 5.7 × 10<sup>27</sup> W</p>
26
New cards

The most fundamental equation of motion is:

Distance = speed x time → x=vt

27
New cards

xT = x1 + x2

tT = t1 + t2

28
New cards

Can add individual distances or time, but can’t combine the individual speed to get a speed for the whole trip

knowt flashcard image
29
New cards
term image

A. 30 mph

<p>A. 30 mph</p>
30
New cards

The fundamental equation for acceleration is:

knowt flashcard image
31
New cards
<p>Uniform acceleration appears as a straight line on a v-vs-t graph</p>

Uniform acceleration appears as a straight line on a v-vs-t graph

The slope on this graph equals the acceleration

32
New cards
<p>Uniform acceleration appears as a parabola on a x-vs-t graph</p>

Uniform acceleration appears as a parabola on a x-vs-t graph

Slope = v

Right: v is increasing

Left: v is decreasing

33
New cards
term image

Constant speed appears as a straight line on x-vs-t graph and horizontal line on v-vs-t graph

34
New cards

Average Velocity Equation

Another equation: vf - vi = at

<p>Another equation: v<sub>f</sub> - v<sub>i</sub> = at</p>
35
New cards

Time-Independent Equation

2axT = vf2 - vi2

36
New cards

Another Equation:

xT = ½ at2 + vit

37
New cards
term image
38
New cards
term image

B. 50 m

<p>B. 50 m</p>
39
New cards

Gravitational Field

g = 9.8 m/s2 = ~10 m/s2

40
New cards

Freefall acceleration doesn’t depend on mass

  1. For very light objects air friction is significant, so their motion cannot be considered true freefall

  2. Over a large enough drop, any object will get fast enough to reach terminal velocity

41
New cards
term image
knowt flashcard image
42
New cards
term image

A. 200m, 70 m/s

<p>A. 200m, 70 m/s</p>
43
New cards

Scalars

Physical quantities for which direction is not meaningful

44
New cards

Vectors

Physical quantities that inherently have a direction

45
New cards

Vector Addition

Put arrows tip to tail

<p>Put arrows tip to tail</p>
46
New cards
term image
knowt flashcard image
47
New cards
term image

C. Acos(theta) + Bcos(2 theta) + Ccos(3 theta)

48
New cards

Distance vs Displacement

Distance: the total amount walked/driven on the ground

Displacement: the relationship of ending point to starting point

49
New cards

Speed, Velocity, and Acceleration Relationship

If you change speed, you change velocity

Can change velocity while maintaining a constant speed

Acceleration: time rate of change of velocity, not speed

  • ac = v2/r

50
New cards
term image
knowt flashcard image
51
New cards

What are Dynamics?

Why things move

52
New cards

1 N = 1 (kg x m) / s2

Unit force is a newton

53
New cards

Newton’s First Law

“Law of Inertia”

An object at rest stays at rest, and an object in motion at a constant velocity stays in motion, unless acted upon by an unbalanced force

54
New cards

Inertia

The tendency of mass to resist changes in its state of motion

55
New cards

Balanced vs Unbalanced Forces

Balanced: No change in motion

Unbalanced: Change in motion

56
New cards

Newton’s Second Law

F = ma

F = vector sum of the forces on the object (the “net” force)

m = mass

a = acceleration

57
New cards

Newton’s Third Law

“The Law of Action and Reaction”

For every action, there is always an equal and opposite reaction

Applies to mechanical contact, gravitational, and electromagnetic forces

58
New cards

Weight

The force of attraction that Earth’s gravity exerts on this mass

Depends on mass and gravitational field: Weight (w) = Mass (m) x Gravity (g)

59
New cards

Normal Force

The weight of the object makes it press into the surface on which it is sitting causes the surface to push back on the object

N = w = mg

60
New cards

What if the surface is slanted?

If the horizontal surface is accelerating upward, then the net force has to be upward, so the normal force is slightly larger than the weight

If the horizontal surface is accelerating downward, then the net force has to be downward, so the normal force is slightly smaller than the weight

61
New cards
term image
knowt flashcard image
62
New cards

If forces are at angles:

Find or estimate components

If an object is at rest or constant velocity: the components in both x- and y-directions should sum to zero

If any acceleration is in one direction (x or y), then the components in the other direction will sum to zero

63
New cards
term image

D) 120sqrt(3) N

<p>D) 120sqrt(3) N</p>
64
New cards

Friction

A force that opposes motion

Arises from two surfaces rubbing together

f = uN

f = force of friction

N = normal force

u = coefficient of friction (between 0 and 1)

  • Close to zero for slippery surfaces

  • Larger for rough or sticky surfaces

65
New cards

Static Friction

The friction locking an object at rest

Need to be broken to initiate motion

us > uk

66
New cards

Kinetic Friction

The friction that happens once something is already sliding, in motion

us > uk

67
New cards
term image

B) 5 m/s2

<p>B) 5 m/s<sup>2</sup> </p>
68
New cards
69
New cards

Free Body Diagrams

Represents the mass, the object, as a point

Represents all forces as arrows

70
New cards
term image

A) 1.25 m/s2

<p>A) 1.25 m/s<sup>2</sup> </p>
71
New cards

How to solve for inclines

Divide weight into two components

  • One perpendicular to the slope (wperp)

  • One parallel to the slope (wpar)

Low values of Theta, wperp would be bigger and wpar small

Values of Theta close to vertical, wpar would be large and wperp small

72
New cards

Can find wperp and wpar using SOHCAHTOA

wperp = w(cos(theta)) = mg(cos(theta))

wpar = w(sin(theta)) = mg(sin(theta))

73
New cards

Perpendicular Direction:

No motion at all

Forces are balanced

N = wperp = mg x cos(theta)

74
New cards

Friction Force in terms of wperp

N = wperp = mg x cos(theta)

f = uN = umg x cos(theta)

75
New cards

Equations connecting wperp and wpar

N = wperp = mg x cos(theta)

f = uN = umg x cos(theta)

Fnet = wpar - f

Fnet = mg x sin(theta) = umg x cos(theta)

Fnet = mg(sin(theta) - ucos(theta)) = ma → cancel out the m’s

g(sin(theta) - ucos(theta)) = a

76
New cards

Suppose the mass doesn’t slide:

If u2 is greater than or equal to tan(theta), the mass can sit on the incline

<p>If u<sub>2</sub> is greater than or equal to tan(theta), the mass can sit on the incline</p>
77
New cards
term image

B) 3.6 m/s2

<p>B) 3.6 m/s<sup>2</sup> </p>
78
New cards
term image
79
New cards

Balanced forces (N1) are two or more forces on the same object →

Equal & opposite forces on the same object always cancel

80
New cards

Action and reaction (N3) are always on two different objects →

They are always equal & opposite, but never cancel

81
New cards

Center of Mass Definition

All the mass of an object is concentrated at a single point

Changes as the body assumes different positions

82
New cards

Center of Mass Formula

knowt flashcard image
83
New cards

If masses were spread over a 2D array, w/ x- and y-components:

xcm = sum of (mi)(xi) divided by total mass

ycm = sum of (mi)(yi) divided by total mass

84
New cards
term image

85
New cards

A force applied at the center of mass of an object will accelerate the object

A force applied offline from the center of mass can also twist or spin the object in addition to moving it

86
New cards

Torque (T)

A way to express the “leverage” that a force has because it acts at some radius from its target

T = Fr x sin(theta)

F = the force, which as a vector naturally has a direction

r = the displacement vector from the center of rotation tot he point where the force is applied (“distance”

theta: the angle between F and r

87
New cards

When theta = 90 degrees

F and r produce the maximum possible torque

88
New cards

When theta = 0 degrees or 180 degrees

sin(theta) = 0, so there is no torque at all because the force is exactly in line with the center

89
New cards

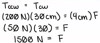
When torques are balanced:

Tccw = Tcw

90
New cards
term image

C) 1500 N

<p>C) 1500 N</p>
91
New cards

Statics:

The student of the forces in play when things are sitting still

92
New cards

For any physical object that is still, it must be true that:

  • All forces are balance (in all directions)

  • All torques are balanced

The two requirements result in two different equations for two unknowns

93
New cards
term image

D) T1 = 1625 N, T2 = 375 N

<p>D) T<sub>1</sub> = 1625 N, T<sub>2</sub> = 375 N</p>
94
New cards
term image

B) 400sqrt(3) N

Bilateral symmetry:

  • two x-components of the forces are equal and opposite, so they cancel out

  • two y-components of the forces from the arrows are equal and combine to an upward force that balances the weight

<p>B) 400sqrt(3) N</p><p>Bilateral symmetry:</p><ul><li><p>two x-components of the forces are equal and opposite, so they cancel out</p></li><li><p>two y-components of the forces from the arrows are equal and combine to an upward force that balances the weight</p></li></ul><p></p>
95
New cards

Energy Definition

The ability to do work

Lifting, moving objects, or changing their velocity

96
New cards

Units of Energy

Joules = N x m

97
New cards

Gravitational Potential Energy

GPE = Ug = m x g x h

Linear relationship with mass or height and energy

Depends on an object’s mass, gravity’s acceleration, and height

The lowest point in a problem has zero gravitational energy

98
New cards

Spring Potential Energy

SPE = Us = ½ k * x2

k = spring constant

  • Higher = less stretch

x = distance the spring is compressed or stretched

  • Greater stretch = more energy stored

99
New cards

Kinetic Energy

KE = ½ m * v2

An object’s energy increases with its mass and the square of its velocity

  • The heavier and faster the object = greater KE

100
New cards
term image

A. A 75 kg person hikes a vertical distance of 100 m