1/109
Add chapter 10-11
Name | Mastery | Learn | Test | Matching | Spaced | Call with Kai |
|---|
No analytics yet
Send a link to your students to track their progress
Rotational motion
is the motion of objects that spin about
an axis
A rigid body
s an extended
object whose size and shape
do not change as it moves
rigid-body model example
Every point on a rotating
body has the —- angular
velocity.
Angle θ is the
angular position
Two points on the object at
different distances from the
axis of rotation will have
different
θ is positive when measured
counterclockwise
We measure angle θ in the
angular unit of
radians
arc length unit-is the
distance that the particle has
traveled along its circular path
s
We define the particle’s angle θ in terms of arc length and
radius of the circle:

An angle of 1 rad has an arc length s exactly equal to the
radius r. You can conclude the following equation

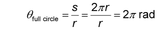
One revolution (rev) is when a particle travels
angle of a full circle

Conversion factors among revolutions, radians and
degrees are:

The angular velocity is constant for a
particle moving with uniform circular motion. What is the equation for it

Angular speed is the absolute value of
angular speed
The angular speed is related to the period T:

Frequency (in rev/s)

A ball rolls around a circular track with an angular velocity
of 4π rad/s. What is the period of the motion
1/2s
Different points on the blades
move at different speeds.
• Points farther from the axis – at
larger values of r – move at
higher speed
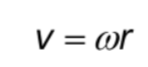
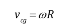
Speed v at any point and angular
speed w are related by:

Rasheed and Sofia are riding a merry-go-round that is
spinning steadily. Sofia is twice as far from the axis as is
Rasheed. Sofia’s angular velocity is ——— that of Rasheed.
the same
Rasheed and Sofia are riding a merry-go-round that is
spinning steadily. Sofia is twice as far from the axis as is
Rasheed. Sofia’s speed is ——- Rasheed
twice as fast

Two coins rotate on a turntable. Coin B
is twice as far from the axis as coin A.
The angular velocity of A equals that of B
Angular acceleration is defined as

Angular Acceleration is positive for
A

angular acceleration is negative when


The fan blade is slowing down. What are the signs of
and α?
C. is negative and α is positive
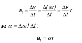
Tangential acceleration is the
component of acceleration
directed
tangentially to the circle.
• The tangential acceleration
measures the rate at which the
particle’s speed around the circle
increases.


Direction: The torque
torque is positive when the force tends to produce a
counterclockwise rotation about the axis.


The four forces shown have the same strength. Which force
would be most effective in opening the door?
The net torque is the
sum of the torques due
to the
applied forces:

You are using a wrench in an attempt to
loosen a nut by applying a force as shown. But
this fails to loosen the nut. Which one of the
following choices is most appropriate for loosening
this tough nut?
Doubling the length or doubling the force will have the same result, but doubling
the length is easier.
Each particle experiences a torque
due to
force of gravity.
The gravitational torque can be
calculated by assuming that the net
force of gravity (the object’s weight)
acts as a single point. What is that point?
center of gravity.
An object that is free to
rotate about a pivot will
come to rest with the
center of gravity
below or above the
pivot point
The torque due to gravity when the pivot is at the
center of gravity is
0
The total torque is

location of the center of gravity is:

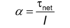
A torque causes an
angular
acceleration.
he quantity in the
equation summation mass radius ², which is the
proportionality constant
between angular acceleration
and net torque, is called the
object’s moment of inertia I:
units of moment of inertia are

units of moment of inertia are
kg x m ²
Newton’s second law for rotation An object that experiences a
net torque about the axis of rotation
undergoes an angular
acceleration

A net torque is the cause of
angular acceleration.

The moment of inertia is
the rotational equivalent
mass and mass distribution
Since 2π/T is the angular velocity, what is the rolling constant


So the speed of a point at the top of the wheel

impulse force is a
arge force exerted during
a short interval of time.
t is useful to think of the
collision in terms of
average force Favg

impulse is a —— quantity, pointing in the direction
of the average force ——
vector

Momentum is a —— quantity
that points in the same direction
as the velocity —-:
vector, its a result from the object speed and mass

impulse-
momentum theorem

impulse approximation
states that we can ignore
the small forces that act during the brief time of the
impulsive force.
• We consider only the momenta and velocities
immediately before and immediately after the collisions.
• Other forces are much smaller than the interaction
forces.
If there is a system of particles
moving, then the system as a
whole has an overall
momentum
total momentum
ystem of particles is the
vector sum of the momenta of
the individual particles:
light plastic cart and a heavy steel cart are both pushed
with the same force for 1.0 s, starting from rest. After the
force is removed, the momentum of the light plastic cart is
Fill in the blank that of the heavy steel cart
same
due to newtons third law impulse 1 hits impulse 2 thereby
J=-J2
For objects subject only to internal forces, there is
o change
in the total momentum of the system
Fnet is due to
external forces meaning momentum P wont change
The total momentum after an interaction is —- to the
total momentum before the interaction.
equal
An explosion is when the
particles of the system
move apart after a brief,
intense interaction
explosion is the—- of collision
opposite

The two boxes are on a frictionless surface. They had been
sitting together at rest, but an explosion between them has
just pushed them apart. How fast is the 2-kg box going?
2m/s
perfectly inelastic collision
s a collision in which the two
objects stick together and move with a common final velocity

Linear momentum is not
conserved for a spinning
object because the direction
of motion keeps changing.
angular momentum

linear motion, the impulse-momentum theorem is
written

Joe has volunteered to help out in his physics class by sitting on a stool that easily
rotates. As Joe holds the dumbbells out as shown, the professor temporarily applies a
sufficient torque that causes him to rotate slowly. Then, Joe brings the dumbbells close
to his body and he rotates faster. Why does his speed increase
By bringing the dumbbells inward, Joe decreases the moment of inertia
Joe has volunteered to help out in his physics class by sitting on
a stool that easily rotates. Joe holds the dumbbells out as shown as
the stool rotates. Then, Joe drops both dumbbells. How does the
rotational speed of stool change, if at all
rotational speed remains
the same.
Joe has volunteered to help out in his physics class by sitting on a stool that easily
rotates. Joe holds the dumbbells out as shown as the stool rotates. Then, Joe drops both
dumbbells. Then, the angular momentum of Joe and the stool changes, but the angular
velocity does not change. Which of the following choice offers the best explanation
Even though the angular momentum decreases,
the moment of inertia also decreases.
Every system in nature has a quantity we call its
total energy E
Kinetic energy
k- energy of motion
Gravitational potential energy
U g: stored energy associated with an object’s height above the ground
Elastic or spring potential energy
U s: energy stored when a spring or other elastic object is stretched
Thermal energy E t h
the sum of the kinetic and potential energies of all the molecules in an object
Chemical energy E chem:
energy stored in the bonds between molecules.
Nuclear energy E nuclear
energy stored in the mass of the nucleus of an atom.
A child is on a playground swing, motionless at the highest
point of his arc. What energy transformation takes place as
he swings back down to the lowest point of his motion?
ug to K
Work represents
energy that is transferred into or out of a system.

what force is done on work
external forces


A force does no work on an object if
The part of the object on which the force acts undergoes no displacement an example
pushing on a wall
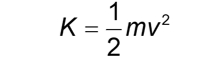
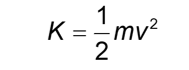
•Translational kinetic energy is
the energy of motion in a line.

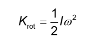
•Kinetic energy can be in two forms: translational, for motion of an object along a path:

•and rotational, for the motion of an object around an axis:

conservative forces:
–Gravity
–Elastic forces
as friction that cannot store us
nonconservative forces.
potential energy equals

Rank in order, from largest to smallest, the gravitational potential energies of the balls.

A small child slides down the four frictionless slides A–D. Rank in order, from largest to smallest, her speeds at the bottom.
All are equal

Thermal energy is the sum of
the kinetic energy of atoms and molecules in a substance and the elastic potential energy stored in the molecular bonds between atoms.
Friction on a moving object does work. That work creates
thermal energy:

W energy equation can be also written as

Kinetic energy can be in two forms
rotational and translational
translational, for motion of an object along a path: equation

rotational motion of an object around an axis equation

energy diagrams
•diagrams graph potential energy as a function of position.
Equilibrium if found where P E has a local
minimum or maximum value
energy at equilibrium is at
potential energy and kinetic energy is 0
ground state is the
lowest possible energy state of a molecule