1/142
Looks like no tags are added yet.
Name | Mastery | Learn | Test | Matching | Spaced | Call with Kai |
|---|
No analytics yet
Send a link to your students to track their progress


Are inequality and growth endogenous or exogenous outcomes of the economic process?
Endogenous
How have income inequality and inheritance flows in industrialised countries evolved throughout the last century?



What explanations have been suggested for the evolution for the period 1950-70?

What explanations have been suggested for the evolution for the late 1980s onwards?


What do we notice about wages and supply of skilled labour?


What do we notice about human capital?

What three explanations do we have for skill-biased technological change?

(Globalisation) What do Heckscher-Ohlin trade models focus on?
Countries specialize on products which use relatively more abundant factor of production more intensively
If OECD countries specialise on goods with high human capital intensity, what should happen?

What does empirical evidence suggest about this?

(De-unionisation) How does it correlate with wage compression?

How might de-unionisation explain the increase in wage inequality?

(Skill-biased technological change) What did Acemoglu (2002) estimate about productivity of college graduates?

What is the production function?


What are waged equal to?


How does technological progress impact wages?
Technological progress increases wages
What is missing from the model?


What is the new production function if we ignore K?


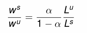
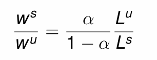
What are the respective wages for skilled/unskilled labour?


Use these to obtain the skill-wage premium


What are the issues with this form of the skill-wage premium?


How can we adapt the model (Y, Xs, Xu) to account for the this?

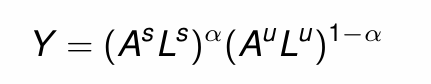
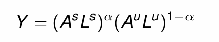
What is the new final output?

What are the equations for Xs and Xu?

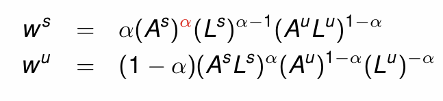
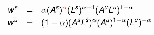
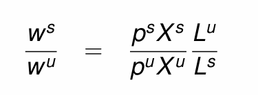
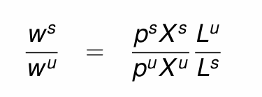
What are the wages equal to?

What is the new skill-wage premium equation?


How are relative prices related to relative intermediate sectors? How are they then related to relative productivity and relative skilled labour?


Hence, how does the skill-wage premium respond to an increase in relative skilled-labour?

When does this increase in the skill-wage premium occur?



How does an increased in relative skilled-labour relate to the market size for innovations for skilled and unskilled labour?

What does the value of an innovation correspond to?

What are profits increasing in?

What does an increase in relative skilled-labour do to the marginal return to R&D in sector s and then relative productivity?

(Summary) With a Cobb-Douglas production function, how is the skill premium affected by technological progress?

What is market size equal to?


X
How did inequality hinder growth when comparing South Korea and the Philippines according to Benabou (2000)?

Regarding production, how many goods are there and what are they used for?

How is the good produced?

What is the equation for the production in the skilled labour sector?


What are the properties of F?

What is the equation for production in the unskilled labour sector?


What are the properties of wu?

Regarding households, how many periods do the individuals live in?

How many descendants does each household have?

Over what time period do we observe the agents and what are they maximising over this time?

What do agents decide and receive at the beginning of t?

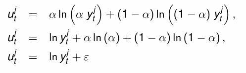
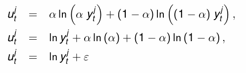
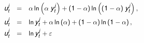
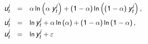
What is the equation for agent utility?

What do we know about the capital market (mobility, access, returns)?

When ignoring education/skills investment, are what type of labour are household in both periods and what wage do they then earn?

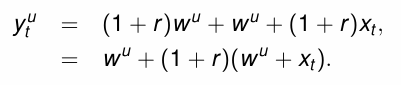
What is the equation for the income of the unskilled household?


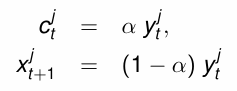
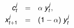
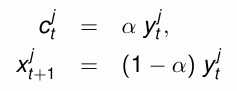
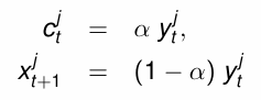
What does the household then do regarding ct and xt+1?

How does the choice regarding bequests relate to savings?

How does this result in us ignoring capital K?

What do we then focus on instead?

How can the demographic structure be presented from t-2 to t+1? What is chosen in each period?

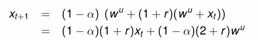
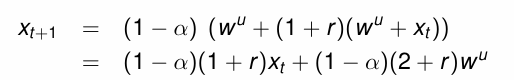
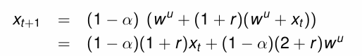
What is the equation for the evolution of wealth?


Substitute in unskilled household income and simplify


What are the properties of this curve (linear/nonlinear, starting point, slope)?


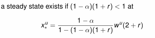
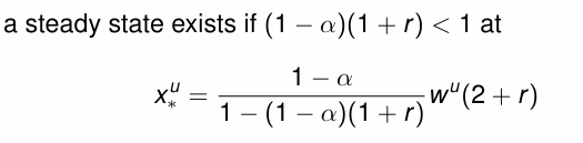
When does a steady state exist?


Draw the graph for the steady state and describe its stability

With the introduction of human capital investment, what decision do individuals have regarding work in each period?

How do we denote the amount of investment into human capital?

Why is the investment an important cost?

Without differences in abilities, how do agents differ and what is the capital market like?
Capital market initially the same as prior

How can borrowers evade debt payments? What is an issue with this activity?

How can lenders avoid defaults?

How can borrowers still evade lenders even with the monitoring costs?

How do the imposed costs impact r and the i.r. for borrowing?

What does the zero-profit condition imply for financial intermediation for an agent who borrows?

What is the incentive compatibility constraint given lenders choose to make evasion disadvantageous?

How do we then determine the level of i? How does it relate to r?

Given workers can now be unskilled or skilled, what is the income of unskilled agents in their second period of life?

What is the income of skilled agents in their second period of life if xt ≥ h?

What is the income of skilled agents in their second period of life if xt < h?






What is then the utility of unskilled households?


What level of bequests will the unskilled household leave for the descendant?


Is this agent a lender or borrower?
Lender

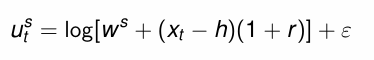
What is the utility of an individual with inheritance xt ≥ h who invests in human capital?


What level of bequests will they leave for the descendant?


Is this agent a lender or borrower?
Lender

What is the utility of an agent with inheritance xt < h who invests in human capital?


What level of bequests will they leave for the descendant?


Is this agent a lender or borrower?
Borrower (i rather than r)
for agents with xt ≥ h, investment in human capital take place under what conditions?

borrowers invest in human capital as long as what conditions hold?

Therefore, who is education limited to?

What decisions are determined by the amount an individual inherits?

What is the amount of skilled/unskilled workers determined by?

Therefore, what does the distribution of wealth determine about economic performance?


Why are these results seen?
2 is why we see multiple SS; inequality does not vanish in the long-run


What is the level of xjt+1 for xt < f?

What is the level of xjt+1 for f ≤ xt < h?

What is the level of xjt+1 for h ≤ xt?


What are the three steady states?
