hydrology midterm 2

0.0(0)
Studied by 19 people
call kaiCall Kai
learnLearn
examPractice Test
spaced repetitionSpaced Repetition
heart puzzleMatch
flashcardsFlashcards
GameKnowt Play
Card Sorting

1/87

Last updated 4:50 PM on 11/9/22
Name
Mastery
Learn
Test
Matching
Spaced
Call with Kai

No analytics yet

Send a link to your students to track their progress

88 Terms

1
New cards
flow
based on a force balance, imbalance can lead to flow
2
New cards
speed of flow depends on
steepness and properties of fluid
3
New cards
fluid
substance that continuously deforms (changes shape when subjected to a shear stress)
4
New cards
body force
forces that act at a distance and do not require contact (eg: gravity)
5
New cards
surface force
forces caused by direct contact between two fluid particles (eg: pressure)
6
New cards
pressure
surface force that holds normal to the surface, also a stress (force/area)
7
New cards
shear force
a frictional surface force that acts tangentially
resistance to flow/deformation
8
New cards
units of pascals
1 Pa = 1 kg m-1 s-2
9
New cards
roughness
other source of resistance, property of the fluid environment
10
New cards
rate of deformation equation
where:
f = force
A = area
miu = fluid viscosity
u = tangent object
d = depth
where:
f = force
A = area
miu = fluid viscosity
u = tangent object
d = depth
11
New cards
fluid statics
a special case of fluid at rest
if not moving, shear stresses are absent
only consider pressure and elevation
12
New cards
hydrostatic equation
describes variation of pressure with depth in a fluid at rest
where density and gravitational acceleration are constants so pressure increases linearly with depth
describes variation of pressure with depth in a fluid at rest 
where density and gravitational acceleration are constants so pressure increases linearly with depth
13
New cards
pressure head
p/(rho*g) = d
14
New cards
fluid dynamics
assuming flow rate is steady with time, elevation and pressure plus a term that describes the F/A in the system associated with water movement through a system
15
New cards
faster moving fluid
relieves pressure, lower pressure
16
New cards
velocity and pressure are
inverse/compensatory
17
New cards
Bernoulli Equation
constant rate of flow, frictionless
constant rate of flow, frictionless
18
New cards
continuity equation
steady flow is a hose, no changes in the amount of water in any segment at any time (inflow=outflow)
conservation of mass/volume
steady flow is a hose, no changes in the amount of water in any segment at any time (inflow=outflow)
conservation of mass/volume
19
New cards
flow constriction
if area increases, velocity must decrease
20
New cards
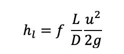
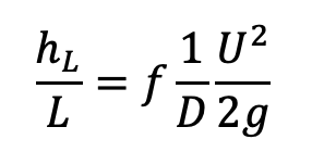
head loss
an empirical way of dealing with fluid friction that is dissipating energy as it flows
depends on: viscosity of the fluid/flow, diameter of pipe, length of pipe section, and roughness
an empirical way of dealing with fluid friction that is dissipating energy as it flows
depends on: viscosity of the fluid/flow, diameter of pipe, length of pipe section, and roughness
21
New cards
laminar flow
nonturbulent streamline flow in parallel layers, experiences less energy loss because less energy is transferred via vertical motion
nonturbulent streamline flow in parallel layers, experiences less energy loss because less energy is transferred via vertical motion
22
New cards
turbulent flow
flow in which the velocity at any point varies erratically
flow in which the velocity at any point varies erratically
23
New cards
Reynold's number
describes which fluid type is likely in a given set of conditions
describes which fluid type is likely in a given set of conditions
24
New cards
open channel hydraulics
unbounded at the top, free water surface open to atmospheric pressure where pressure changes with depth
25
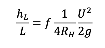
New cards
friction slope
the head loss per unit length along a channel
slops of energy surface, generally analogous with water bed
26
New cards
head loss in terms of friction slope
knowt flashcard image
27
New cards
friction slope with hydraulic radius
open channel flow
open channel flow
28
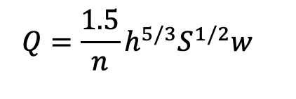
New cards
for a rectangular cross section
with w= width
h= height
and a wetted perimeter of 2h+w
with w= width
h= height
and a wetted perimeter of 2h+w
29
New cards
Chezy formula
c is a resistance factor… large for smooth objects, small for rough
S is the slope of the bed, representative of the friction slope
R is the hydraulic radius… the ratio of cross-sectional area to perimeter
c is a resistance factor… large for smooth objects, small for rough
S is the slope of the bed, representative of the friction slope
R is the hydraulic radius… the ratio of cross-sectional area to perimeter
30
New cards
Manning equation
k is equal to 1 m1/3 s-1 in SI units
k is equal to 1 m1/3 s-1 in SI units
31
New cards
Manning n
the inverse of the Chezy c parameter, non-linearly inverse due to different powers of Rh
larger for surfaces
32
New cards
smoother flow environment
faster flow, less frictional dissipation of energy
faster flow, less frictional dissipation of energy
33
New cards
empirical relationship for roughness
includes friction factor, water depth, and D84, the size of bed material of which 84% of bed material is finer
Determined by measuring lots of diameters of the bed material, sorting the data from smallest to largest, and picking out the 84th percentile
includes friction factor, water depth, and D84, the size of bed material of which 84% of bed material is finer
Determined by measuring lots of diameters of the bed material, sorting the data from smallest to largest, and picking out the 84th percentile
34
New cards
bank full
fully filled to banks
35
New cards
floodplain
overflowing bank
36
New cards
terrace
where you want to build a house/overflow least likley to reach
37
New cards
as depth gets bigger, discharge gets...
bigger faster (h to the 1.5 power)
38
New cards
Manning relationship (stage-discharge)
Discharge can be related to depth of flow, or stage of flow

If we measure depth and know how that translates to discharge we have an easy measure of discharge
Discharge can be related to depth of flow, or stage of flow

If we measure depth and know how that translates to discharge we have an easy measure of discharge
39
New cards
in open channels, total head
decreases in a downstream direction at a rate determined by the slope of the channels
40
New cards
slope determines rate of
elevation loss
elevation loss
41
New cards
hydrograph
graph of a continuous record of river stage or discharge versus time for a particular point
graph of a continuous record of river stage or discharge versus time for a particular point
42
New cards
rating curve
plot of discharge versus stage and the associated equation for a functional form relating them
plot of discharge versus stage and the associated equation for a functional form relating them
43
New cards
floods
an increase in discharge following the input of water from a rain or snowmelth
44
New cards
attenuated
reduced in peak
45
New cards
baseflow
background low-flow conditions in a stream, characterized by flow between flood events and supplied inflow of groundwater
46
New cards
porous medium
a rock, sediment, or soil that contains pores or void sections
47
New cards
Poiseuille's Law
defines the average velocity through a tube for a flow of a viscous fluid through a capillary tube
where h is the hydraulic head =
defines the average velocity through a tube for a flow of a viscous fluid through a capillary tube
where h is the hydraulic head =
48
New cards
dh/dl
difference in hydraulic head over difference in length (slope)
49
New cards
key points of groundwater hydraulics
1. flow is down the hydraulic head gradient
2. discharge is directly proportional to the hydraulic head gradient
3. flow is inversely proportional to fluid viscosity
50
New cards
Darcy's law
Q is directly proportional to dl, where k is a constant of pro
Q is directly proportional to dl, where k is a constant of pro
51
New cards
specific discharge
discharge per unit cross-sectional area of a flow through the porous medium (units in m/s)
discharge per unit cross-sectional area of a flow through the porous medium (units in m/s)
52
New cards
hydraulic conductivity (K)
describes how Q changes with fluid weight (rho*g), fluid viscosity (miu), and the aggregate effect of pipe diameters (D^2/32)
describes how Q changes with fluid weight (rho*g), fluid viscosity (miu), and the aggregate effect of pipe diameters (D^2/32)
53
New cards
intrinsic permeability (k)
ability of a porous medium to transmit fluid, independent of the fluid properties (dimensions in length^2)
ability of a porous medium to transmit fluid, independent of the fluid properties (dimensions in length^2)
54
New cards
porosity
the fraction of the total volume of a porous medium occupied by void space (dimensionless on a scale of 0 to 1)
note: v is always greater than Q
the fraction of the total volume of a porous medium occupied by void space (dimensionless on a scale of 0 to 1)
note: v is always greater than Q
55
New cards
aquifer
a saturated geologic formation that contains and transmits significant quantities of w
56
New cards
aquifuge
a formation that neither contains nor transmits water
57
New cards
aquiclude
can contain but doesn't transmit water
58
New cards
aquitard
general term describing formations of low permeability (aquifuge and
59
New cards
wells & piezometers
are used to measure the hydraulic head in an aquifer
60
New cards
piezometer
a tube or pipe that measures the pressure head at a point in the surface
a tube or pipe that measures the pressure head at a point in the surface
61
New cards
piezometric surface
sum of elevation head and pressure head
sum of elevation head and pressure head
62
New cards
unconfined aquifer
a permeable formation whose upper bound is the water table
63
New cards
confined aquifer
upper band is an aquitard where water is typically under pressure
64
New cards
flow net
simplified approach to calculating flow (direction), constitutes of mapped streamlines and equipotentials
simplified approach to calculating flow (direction), constitutes of mapped streamlines and equipotentials
65
New cards
angle at which equipotentials and streamlines intersect
90°
66
New cards
equipotentials
gradient of steepest descent
67
New cards
streamtube
space between streamlines, volume discharged is equal through all streamtubes
68
New cards
where spacing between the streamtubes is narrow, flow is
fastest
69
New cards
procedure for calculating discharge
1. isolate a (perfect) square
2. use Darcy's law to calculate discharge through these squares
3. extend to get discharge for the entire aquifer
70
New cards
Qs
discharge of a streamtube
discharge of a streamtube
71
New cards
K*b
transmissivity
72
New cards
recharge zone
zones with an angle
73
New cards
discharge zone
zones with an angle >90° contribute to discharge
74
New cards
hinge
where discharge and recharge are separated, demarcated by the location where equipotential lines are exactly perpendicular to the local water table
75
New cards
what is a flow net really displaying?
a solution to the steady-state flow in a particular basin geometry, can be written as specific discharge
a solution to the steady-state flow in a particular basin geometry, can be written as specific discharge
76
New cards
aspect ratio
basin length to depth ratio
basin length to depth ratio
77
New cards
large aspect ratio
shallow basin
78
New cards
small aspect ratio
deeper basin, has more dischage/flow because of a high number of streamflow tubes
deeper basin, has more dischage/flow because of a high number of streamflow tubes
79
New cards
what is the most common cause of variation in hydraulic head and groundwater flow?
topographic relief
80
New cards
shallow topography
the regional flow is attenuated relative to dominant influence of the local flow systems
the regional flow is attenuated relative to dominant influence of the local flow systems
81
New cards
deep topography
regional transport emerges/ local (L), intermediate (I), and regional (R) flow systems
regional transport emerges/ local (L), intermediate (I), and regional (R) flow systems
82
New cards
geological heterogeneity
always exists and contrasts in physical properties
can drastically alter the situation from that which would be expected based on the table, with high flow areas capturing and focusing flow
83
New cards
specific yield (Sy)
the volume of water per unit aquifer area per unit decline in hydraulic head
- less than porosity
- ranges from 0.01 to 0.3 (unitless)
84
New cards
unconfined aquifer cone of depression
shape and expansion of the cone depends on pumping rate, Sy, & transmissivity
shape and expansion of the cone depends on pumping rate, Sy, & transmissivity
85
New cards
storativity (S)
volume of water per unit aquifer area per unit decline in potentiometric surface
- ranges from 0.005 to 0.05
- S << Sy
86
New cards
confined aquifer cone of depression
shape and rate of expansion of aquifer depends on pumping rate, storativity (S), and transmissivity
shape and rate of expansion of aquifer depends on pumping rate, storativity (S), and transmissivity
87
New cards
leaky aquitards
increases b (thickness of aquifer) a little with low increase in K
88
New cards
Chezy U
cross-sectional average velocity

Explore top flashcards

flashcards
AP Gov AMENDMENTS
27
Updated 720d ago
0.0(0)
flashcards
Greek Civilization/Who am I
25
Updated 1222d ago
0.0(0)
flashcards
Unidad 0 - Vamos a conocernos
83
Updated 608d ago
0.0(0)
flashcards
Chapter 13 World Studies BJU
44
Updated 1117d ago
0.0(0)
flashcards
Connect 4, Unit 3
52
Updated 1032d ago
0.0(0)
flashcards
Biology Kovacs Taxonomy
99
Updated 1127d ago
0.0(0)
flashcards
World Cultures Quarterly 3 2023
77
Updated 1104d ago
0.0(0)
flashcards
AP Gov AMENDMENTS
27
Updated 720d ago
0.0(0)
flashcards
Greek Civilization/Who am I
25
Updated 1222d ago
0.0(0)
flashcards
Unidad 0 - Vamos a conocernos
83
Updated 608d ago
0.0(0)
flashcards
Chapter 13 World Studies BJU
44
Updated 1117d ago
0.0(0)
flashcards
Connect 4, Unit 3
52
Updated 1032d ago
0.0(0)
flashcards
Biology Kovacs Taxonomy
99
Updated 1127d ago
0.0(0)
flashcards
World Cultures Quarterly 3 2023
77
Updated 1104d ago
0.0(0)