1/24
U got this
Name | Mastery | Learn | Test | Matching | Spaced | Call with Kai |
|---|
No analytics yet
Send a link to your students to track their progress

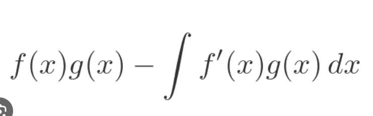
What should be f(x) and g’(x)?

derive ln(x)
1/x
derive e^(2x)
2e^(2x)
Integration by parts (IBP)

integrate e^cosx
Not integratable




∫1/x
ln(lxl)
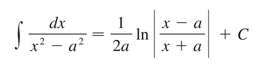
∫1/(ax+b)
u = ax+b
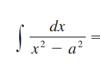
∫x/(x²+a²)
u= x²+a²







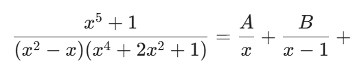
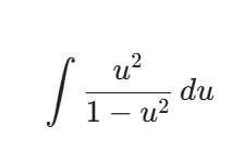
Algebraic Manipulation
Rewrite the numerator: u² = -(-u²) = -(1 - u² - 1)
Distribute negative
cancels out the numerator


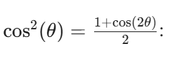
power-reduction identity


Power reduction identity


trig sub
trig sub


trig sub
trig sub




-cotx
Sec²x-1
Tan²x


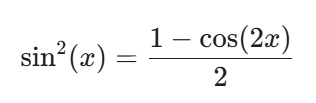
sin2x
2sinxcosx

INTEGRATE
