Home
Explore
Exams
Search for anything
Login
Get started
Home
Science
Chemistry
Organic Chemistry
Organic Structures
0.0
(0)
Rate it
Studied by 0 people
0.0
(0)
Rate it
Call Kai
Learn
Practice Test
Spaced Repetition
Match
Flashcards
Knowt Play
Card Sorting
1/14
Earn XP
Description and Tags
Chemistry
Organic Chemistry
12th
Add tags
Study Analytics
All Modes
Learn
Practice Test
Matching
Spaced Repetition
Name
Mastery
Learn
Test
Matching
Spaced
No study sessions yet.
15 Terms
View all (15)
Star these 15
1
New cards
Alkanes
* Single Bond
* ane
2
New cards
Alkenes
* Double Bond
* ene
3
New cards
Alkynes
* Triple Bond
* yne
4
New cards
Cyclics
* Loop of ane,ene,yne
* cyclo__x
5
New cards
Aromatic
* 6 Carbons alternating double bond
* Benzene
* Pheyl
6
New cards
Alcohol
* OH Branch
* ol
7
New cards
Ether
* Oxygen sandwhiched between carbons
* oxy
8
New cards
Thiol
* Sulfur
* thiol
9
New cards
Aldehyde
* O double bonded to C with an H
* al
10
New cards
Ketone
* O double bonded to C with a C
* one
11
New cards
Carboxylic
* O double bonded to C with OH branch
* oic acid
12
New cards
Ester
* O double bonded to C with OC branch
* oate
13
New cards
Amine
* NH branch
* amine
14
New cards
Amide
* O double bonded to C with NH branch
* amide
15
New cards
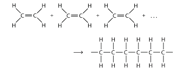
Polymer
* Chains of C and H
* poly__ene
Explore top notes
Core knowledge and Understanding
Updated 467d ago
Note
Preview
MANAGEMENT TERMINALE 1
Updated 237d ago
Note
Preview
Arthritis Pain of the Shoulder
Updated 997d ago
Note
Preview
Unit 3: US History
Updated 720d ago
Note
Preview
Chapter 4: Learning, Memory, and Language
Updated 1208d ago
Note
Preview
Chapter 6: Business Ownership and Operations
Updated 1198d ago
Note
Preview
Chapter 10: Electrons and Electronic
Updated 1063d ago
Note
Preview
Graphs to Know for AP Microeconomics
Updated 345d ago
Note
Preview
Core knowledge and Understanding
Updated 467d ago
Note
Preview
MANAGEMENT TERMINALE 1
Updated 237d ago
Note
Preview
Arthritis Pain of the Shoulder
Updated 997d ago
Note
Preview
Unit 3: US History
Updated 720d ago
Note
Preview
Chapter 4: Learning, Memory, and Language
Updated 1208d ago
Note
Preview
Chapter 6: Business Ownership and Operations
Updated 1198d ago
Note
Preview
Chapter 10: Electrons and Electronic
Updated 1063d ago
Note
Preview
Graphs to Know for AP Microeconomics
Updated 345d ago
Note
Preview
Explore top flashcards
Gatsby vocab
Updated 629d ago
Flashcards (40)
Preview
PMCY 4500L - Exam 2
Updated 384d ago
Flashcards (208)
Preview
Chapter 1: Sampling and Data
Updated 1032d ago
Flashcards (57)
Preview
Kap 9 Introduktion till informatik
Updated 407d ago
Flashcards (60)
Preview
Ettmmology #17&18
Updated 1082d ago
Flashcards (40)
Preview
Analogy
Updated 936d ago
Flashcards (39)
Preview
MODULE 4
Updated 22d ago
Flashcards (38)
Preview
Physics Quiz 1
Updated 791d ago
Flashcards (59)
Preview
Gatsby vocab
Updated 629d ago
Flashcards (40)
Preview
PMCY 4500L - Exam 2
Updated 384d ago
Flashcards (208)
Preview
Chapter 1: Sampling and Data
Updated 1032d ago
Flashcards (57)
Preview
Kap 9 Introduktion till informatik
Updated 407d ago
Flashcards (60)
Preview
Ettmmology #17&18
Updated 1082d ago
Flashcards (40)
Preview
Analogy
Updated 936d ago
Flashcards (39)
Preview
MODULE 4
Updated 22d ago
Flashcards (38)
Preview
Physics Quiz 1
Updated 791d ago
Flashcards (59)
Preview