1/18
Looks like no tags are added yet.
Name | Mastery | Learn | Test | Matching | Spaced |
|---|
No study sessions yet.
Quels sont les trois vecteurs qui permettent de décrire le mouvement d’un système.





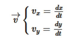
Rappeler la relation mathématique entre les coordonnées cartésiennes Vx et Vy du vecteur vitesse et les coordonnées X et Y du vecteur position.

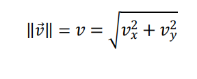
Comment calculer la norme du vecteur vitesse ‖𝑣 ‖ = 𝑣 à partir de ses coordonnées Vx et Vy ?

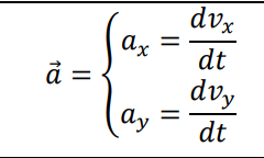
Rappeler la relation mathématique entre les coordonnées cartésiennes ax et ay du vecteur accélération et les coordonnées Vx et Vy du vecteur vitesse.



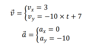
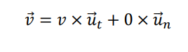
Que peut-on dire du vecteur vitesse au cours d’un mouvement rectiligne uniforme.
Au cours d’un mouvement rectiligne uniforme, le vecteur vitesse est constant (même direction, même sens, même valeur).














Qu’appelle-t-on le centre de masse d’un système ?
Le centre de masse d’un système est un point situé à la position moyenne de la répartition de la masse du système.
Qu’est-ce qu’un référentiel galiléen ?
Un référentiel galiléen est un référentiel dans lequel la 1ère loi de Newton est vérifiée : (c’est-à-dire un référentiel dans lequel un système, qui n’est soumis à aucune force ou à des forces dont la somme vectorielle est nulle, est au repos ou en mouvement rectiligne uniforme.
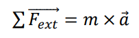
Donner l'expression vectorielle de la 2ème loi de Newton.


