Wang MedChem Cholinergic and Adrenergic Drugs

0.0(0)
studied byStudied by 0 people
full-widthCall with Kai
GameKnowt Play
learnLearn
examPractice Test
spaced repetitionSpaced Repetition
heart puzzleMatch
flashcardsFlashcards
Card Sorting

1/98

encourage image

There's no tags or description

Looks like no tags are added yet.

Study Analytics
Name
Mastery
Learn
Test
Matching
Spaced

No study sessions yet.

99 Terms

1
New cards

Pilocarpine

knowt flashcard image
2
New cards

Streptomycin

knowt flashcard image
3
New cards

Cevimeline

knowt flashcard image
4
New cards

Quinuclidine

knowt flashcard image
5
New cards

Oxotremorine

knowt flashcard image
6
New cards

Arecoline

knowt flashcard image
7
New cards

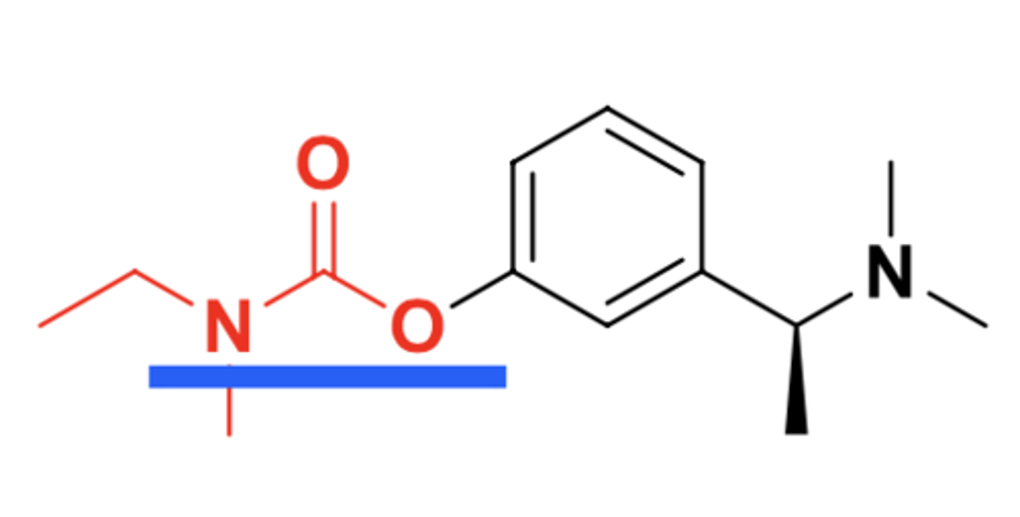
XanomelineMedMe

knowt flashcard image
8
New cards

1,2,5-Thiadiazole

knowt flashcard image
9
New cards

Tripelennamine

knowt flashcard image
10
New cards

Methapheniline

knowt flashcard image
11
New cards

carbachol

knowt flashcard image
12
New cards

acetylcholine

knowt flashcard image
13
New cards

Furosemide

knowt flashcard image
14
New cards

Azosemide

knowt flashcard image
15
New cards

S-Nicotine

knowt flashcard image
16
New cards

Buproprion

knowt flashcard image
17
New cards

Varencicline

knowt flashcard image
18
New cards

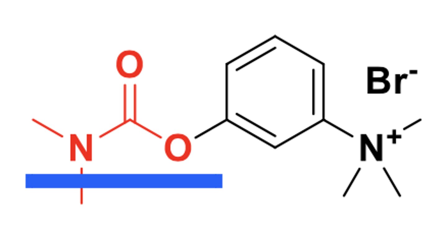
Edrophonium

knowt flashcard image
19
New cards

Neostigmine

knowt flashcard image
20
New cards

Pyridostigmine

knowt flashcard image
21
New cards

Physostigmine

knowt flashcard image
22
New cards

Donepezil

knowt flashcard image
23
New cards

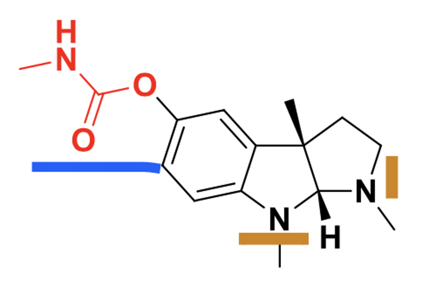
Rivastigmine

knowt flashcard image
24
New cards

Galantamine

knowt flashcard image
25
New cards

Tacrine

knowt flashcard image
26
New cards

Sarin

knowt flashcard image
27
New cards

P-Aminobenzoic Acid

knowt flashcard image
28
New cards

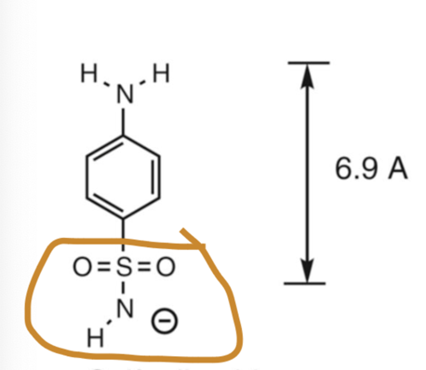
Sulfanilamide

knowt flashcard image
29
New cards

Novichock VX

knowt flashcard image
30
New cards

Novichok VR

knowt flashcard image
31
New cards

Novichok A-230

knowt flashcard image
32
New cards

Novichok A-232

knowt flashcard image
33
New cards

Novichok A-234

knowt flashcard image
34
New cards

Pralidoxime (2-PAM)

knowt flashcard image
35
New cards

Malathion

knowt flashcard image
36
New cards

Parathion

knowt flashcard image
37
New cards

Schradan

knowt flashcard image
38
New cards

Dicholfenthion

knowt flashcard image
39
New cards

Chlorpyrifos

knowt flashcard image
40
New cards

Carbaryl

knowt flashcard image
41
New cards

Paraoxon

knowt flashcard image
42
New cards

Atropine

knowt flashcard image
43
New cards

Scopolamine

knowt flashcard image
44
New cards

Diphenhydramine

knowt flashcard image
45
New cards

8-Chlorotheophyline

knowt flashcard image
46
New cards

Oxybutynin

knowt flashcard image
47
New cards

Darifenacin

knowt flashcard image
48
New cards

Tolterodine

knowt flashcard image
49
New cards

Fesoterodine

knowt flashcard image
50
New cards

Solifenacin

knowt flashcard image
51
New cards

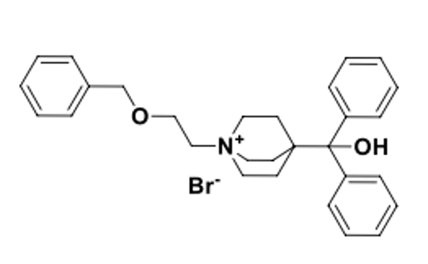
Trospium chloride

knowt flashcard image
52
New cards

Ipatropium Hydrobromide

knowt flashcard image
53
New cards

Tiotropium Bromide

knowt flashcard image
54
New cards

Aclidinum Bromide

knowt flashcard image
55
New cards

Umeclidinium Bromide

knowt flashcard image
56
New cards

Glycopyrrolate

knowt flashcard image
57
New cards

Clidinium

knowt flashcard image
58
New cards

Benzatropine

knowt flashcard image
59
New cards

Revefenacin

knowt flashcard image
60
New cards

Cisatracurium

knowt flashcard image
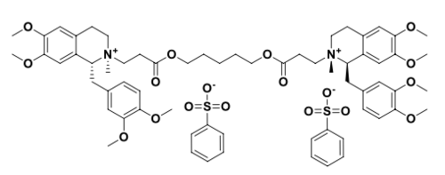
61
New cards

Mivacurium

knowt flashcard image
62
New cards

succinylcholine

knowt flashcard image
63
New cards

Decamethonium

knowt flashcard image
64
New cards

Tubocurarine

knowt flashcard image
65
New cards

Atracurium

knowt flashcard image
66
New cards

Gantacurium

knowt flashcard image
67
New cards

Rocuronium

knowt flashcard image
68
New cards

Vecuronium

knowt flashcard image
69
New cards

L-Tyrosine

knowt flashcard image
70
New cards

L-DOPA

knowt flashcard image
71
New cards

Dopamine

knowt flashcard image
72
New cards

Norepinephrine

knowt flashcard image
73
New cards

epinephrine

knowt flashcard image
74
New cards

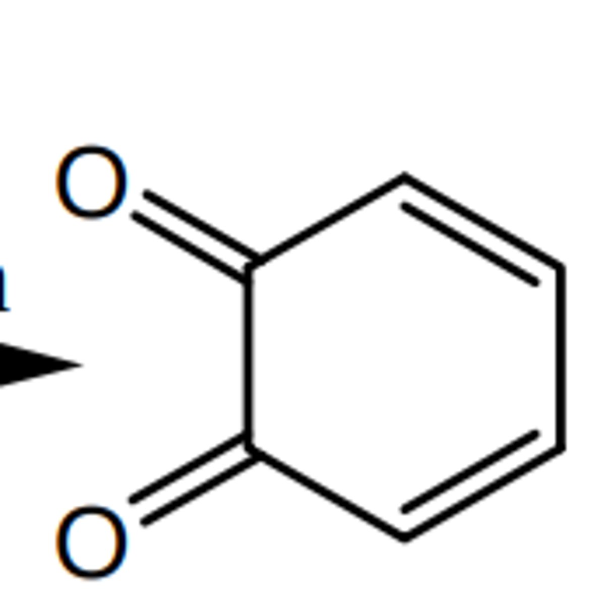
Ortho-quinone

knowt flashcard image
75
New cards

Methoxamine

knowt flashcard image
76
New cards

Midodrine

knowt flashcard image
77
New cards

Metaraminol

knowt flashcard image
78
New cards

Phenylephrine

knowt flashcard image
79
New cards

Amidephrine

knowt flashcard image
80
New cards

Xylometazoline

knowt flashcard image
81
New cards

Oxymetazoline

knowt flashcard image
82
New cards

Tetrahydrozoline

knowt flashcard image
83
New cards

Naphazoline

knowt flashcard image
84
New cards

Phenylmethanolamine

knowt flashcard image
85
New cards

2-arylimidazolines

knowt flashcard image
86
New cards

homatropine hydrobromide salt

knowt flashcard image
87
New cards

Ipatropium bromide salt

knowt flashcard image
88
New cards

Desglymidodrine

knowt flashcard image
89
New cards

Clonidine

knowt flashcard image
90
New cards

Apraclonidine

knowt flashcard image
91
New cards

Brimonidine

knowt flashcard image
92
New cards

Moxonidine

knowt flashcard image
93
New cards

Tizanidine

knowt flashcard image
94
New cards

Guanfacine Or Acylguanidine

knowt flashcard image
95
New cards

Guanabenz or Aminoguanidine

knowt flashcard image
96
New cards

Lofexidine

knowt flashcard image
97
New cards

Dexmedetomidine

knowt flashcard image
98
New cards

a-methylnorepinephrine

knowt flashcard image
99
New cards

methyldopa

knowt flashcard image