1/40
Looks like no tags are added yet.
Name | Mastery | Learn | Test | Matching | Spaced | Call with Kai |
|---|
No analytics yet
Send a link to your students to track their progress













benzaldehyde

benzophenone

acetophenone

acetaldehyde

acetone

formaldehyde



Wittig Reaction


Preparation of ylide


alkyl-substituted ylide
cis product


stablized ylide
trans product








Hydrate formation under acidic conditions


Hemiacetal formation


Acetal formation


Acetal formation


Cyclic acetal formation


Acetal hydrolysis


Formation of imine


Hydrolyzation of imine


reduction selected for ketones only


unselective reduction














Baeyer-Villiger oxidation

Migratory Aptitude for Baeyer-Villiger
(H) > (3c) > (2c OR Ph) > (1c) > (Me)





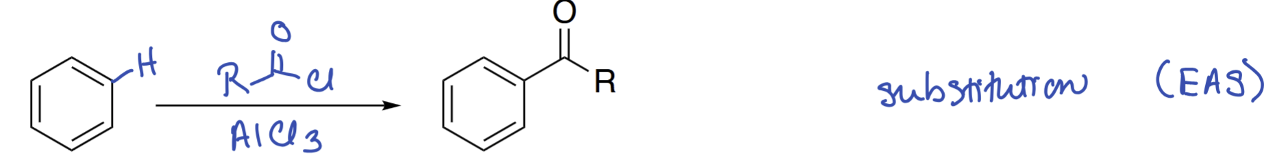
strong electrophile