1/22
BRUUAHHHHHHHHHHHH
Name | Mastery | Learn | Test | Matching | Spaced | Call with Kai |
|---|
No analytics yet
Send a link to your students to track their progress

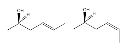
What is the relationship between each pair of compounds
Enantiomer

What is the relationship between each pair of compounds
Identical / Meso

What is the relationship between each pair of compounds
Diastereomer

What is the relationship between each pair of compounds
Identical
Explain what it is about the mechanism that leads to the chlorination of a cycloalkene will always give a trans relationship between the 2 Cl atoms
The intermediate is a chloronium ring. When the 2nd chloride opens the ring, it does so from behind, leading to a trans relationship between the incoming nucleophile and outgoing leaving group.
Explain what it is about the mechanism that leads to the first step of hydroboration of a cycloalkene will always give a cis relationship between the boron and the new hydrogen.
The B and H atoms are added at the same time, so they must be facing the same way
Explain what it is about the mechanism that leads to the adding of H3O+ to a cycloalkene will always give a mixture of cis and trans products
The intermediate is a carbocation which is planar. The water will be able to attack from either the top or bottom, giving both cis and trans.

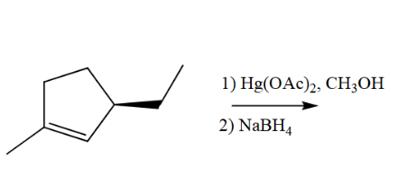
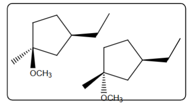
Draw ALL major stereoisomer(s) of the major product(s) that are formed.
1.)
2.)


Draw ALL major stereoisomer(s) of the major product(s) that are formed.
Hydrohalogenation


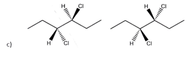
Draw ALL major stereoisomer(s) of the major product(s) that are formed.
Catalytic Hydrogenation

While there are left and right handed shoes, there are NOT left and right handed socks. Briefly explain why shoes are chiral while socks are not chiral.
Shoes don’t have a mirror plane / have internal symmetry, so they are not superimposable with their mirror image.
Socks do have a mirror plane / internal symmetry, so they are superimposable with their mirror image.
If you were completely blindfolded and given a pile of 100 shoes, briefly describe a process by which you could separate the left and right shoes.
Try to wear each shoe on your right foot. If it fits well, it’s a right shoe, otherwise it’s a left shoe.
Briefly (2-3 sentences) explain how an enzyme can be used to separate a racemic mixture into individual enantiomers.
The enzyme has a chiral active site which will lead to a diastereomeric enzyme-substrate complex. Just like the shoe, only 1 enantiomer will fit properly and will undergo a reaction while the other enantiomer won’t undergo a reaction. Once 1 enantiomer reacts it will have different properties and can be separated
We wouldn’t need to use an enzyme to separate a mixture of cis and trans alkenes. Briefly explain why they can be separated without an enzyme.
Cis and trans alkenes are diastereomers which will have different properties and can be directly separate

What is the relationship between each of the following pairs of compounds? Possible answers include identical, enantiomers, diastereomers, conformers, stereoisomers, and constitutional isomers.
Diastereomer

What is the relationship between each of the following pairs of compounds? Possible answers include identical, enantiomers, diastereomers, conformers, stereoisomers, and constitutional isomers.
Identical / Meso

What is the relationship between each of the following pairs of compounds? Possible answers include identical, enantiomers, diastereomers, conformers, stereoisomers, and constitutional isomers.
Diastereomer

What is the relationship between each of the following pairs of compounds? Possible answers include identical, enantiomers, diastereomers, conformers, stereoisomers, and constitutional isomers.
Identical

What is the relationship between each of the following pairs of compounds? Possible answers include identical, enantiomers, diastereomers, conformers, stereoisomers, and constitutional isomers.
Constitutional isomer

What is the relationship between each pair of compounds
Enantiomer

What is the relationship between each pair of compounds
identical

What is the relationship between each pair of compounds
Identical

Unrelated, unrelated