1/18
Looks like no tags are added yet.
Name | Mastery | Learn | Test | Matching | Spaced | Call with Kai |
|---|
No analytics yet
Send a link to your students to track their progress
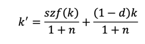
Solow - capital per worker next year

solow - output per worker next year
use given production function per work formula, replacing K with the capital per worker next year
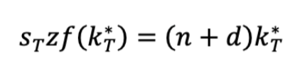
solow - steady state level capital per worker

convergence
Tendency of key macroeconomic variables across countries to move toward their respective steady-state values, or to converge
solow - residuals
Y - GDP, K - capital stock, N - labor force

Growth Rate
n = end year - start year

Contribution to GDP percentage

Absolute convergence
all economies converge to the same steady state (assumes identical parameters)
Conditional convergence
economies converge to their own steady state, which may differ based on their parameters (s, d, n, z)
Capital Endowment
The initial stock of capital (machines, infrastructure, equipment) an economy starts with.
"well endowed" economy
lot of capital per worker
"low endowment"
economy starts with very little.
Divergence
the income gap between rich and poor economies gets larger over time, not smaller.
Malthusian - Steady state population
N* = L / l*
Malthusian - consumption per worker is equal to
output per worker