1/33
Looks like no tags are added yet.
Name | Mastery | Learn | Test | Matching | Spaced |
|---|
No study sessions yet.
NAME DECIMAL PLACES
0.1
TENTHS
0.01
HUNDREDTHS
0.001
THOUSANDTHS
0.0001
TEN THOUSANDTHS
0.00001
HUNDRED THOUSANDTHS
0.000001
MILLIONTHS
0.0000001
TEN MILLIONTHS
0.00000001
HUNDRED MILLIONTHS
0.000000001
BILLIONTHS
Any base to the power of 0 = ?
1
except 0
22 × 23
22 × 23 = 22 + 3 = 25
You can add exponents if you are multiplying powers with the same bases.
35 ÷ 32
35 ÷ 32 = 35 – 2 = 33
You can subtract exponents if you are dividing powers with the same bases
(42)3
(42)3 = 42 x 3 = 46
You can multiply exponents if you are raising a power to a power with numbers of the same base.
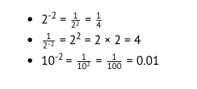
2-2
When you have a base with a negative exponent, you can make the exponent positive by moving the base to the opposite side of a fraction.

PEMDAS
ORDER OF OPERATIONS
Parenthesis
Exponents
Multiplication
Division
Addition
Subtraction
Whole Numbers:
Positive counting numbers including zero, or 0, 1, 2, 3…
Integers:
Whole numbers plus negative counting numbers, or… -3, -2, -1, 0, 1, 2, 3…
Rational Numbers:
Integers plus fractions and decimals like ½, 0.24, and numbers with repeating patterns like 12.666 and 4.3434.
Irrational Numbers
Numbers that have no end point and continue without repeating patterns like π or √3.

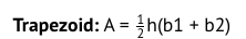
Area Formula


Area Formula


Area Formula


Area Formula


Area Formula

Rectangle Perimeter Formula

Square Perimeter Formula

Circumference of a circle

Triangle Perimeter Formula

Median:
Middle of a set of numbers, when placed in ascending order.
Mean:
Average of a set of numbers.
Mode:
Number that appears the most amount of times.
Range:
Difference between the largest and smallest number.
C = (F – 32) × 5/9
F = C × 5/9 + 32