MMW FIRST SEM

5.0(1)
studied byStudied by 12 people
5.0(1)
full-widthCall with Kai
GameKnowt Play
New
learnLearn
examPractice Test
spaced repetitionSpaced Repetition
heart puzzleMatch
flashcardsFlashcards
Card Sorting

1/93

flashcard set

Earn XP

Description and Tags

PRELIMS

Study Analytics
Name
Mastery
Learn
Test
Matching
Spaced

No study sessions yet.

94 Terms

1
New cards

PATTERNS

are regular, repeated or recurring visual forms or designs.

2
New cards

ALAN TURNING

is the first to explain patterns of animals.

3
New cards

CRISTOBAL VILA

made a video about “Nature’s Number”

4
New cards

IAN STEWART

made a book about “Nature’s Numbers”

5
New cards

SYMMETRY

indicates that you can draw an imaginary line across an object and the resulting parts are mirror images of each other.

6
New cards

REFLECTION OR LINE

means on half of image is mirror image of the other half.

7
New cards

ROTATIONAL

means that when you rotate an object by specified measures of degrees.

8
New cards

ANGLE OF ROTATION

smallest angle that a figure can be rotated and still preserving the original formation. 360/n

9
New cards

BILATERAL

one plane divide into 2 mirror images

10
New cards

PENTARADIAL

Five planes divided the organism evenly.

11
New cards

RADIAL

more than 2 planes are divided into identical pieces.

12
New cards

SPHERICAL

the ability to draw an endless, or great but finite, number of symmetrical axes through the body.

13
New cards

FRACTALS

A never-ending pattern that are infinitely complex.

14
New cards

BENOIT MANDELBROT

“Father of Fractals”

15
New cards

SPIRALS

curve formed by point revolving around a fixed axis an ever-increasing distance.

16
New cards

MEANDERS

a series of regular sinuous curves, bends and loops, turns or windings in channel of river stream or another watercourse.

17
New cards

TESSELLATIONS

pattern made of identical shapes that fit together with no gaps and do not overlap.

18
New cards

APPLIED MATHEMATICS

deals with real - world problems and phenomena and try to model them by equations and formulas.

19
New cards

PURE MATHEMATICS

deals with abstract entities and tries to find relations between them and patterns and structures for them and generalize when possible.

20
New cards

SEQUENCE

is an ordered list of numbers.

21
New cards

TERM

refers to each number in a sequence.

22
New cards

NTH TERM FORMULA OF A SEQUENCE

An = 3n2 + n

An = a1 + (n —1) d

23
New cards

FIBONACCI SEQUENCE

series of numbers such that the next number is found by adding up two numbers before it.

24
New cards

F

is term number "n”

25
New cards

F(n-1)

is the previous term (n-1)

26
New cards

F(n-2)

is the term before that (n-2)

27
New cards

LEONARDO BIGOLLO PISANO/ LEONARDO BONACCI

known as “Fibonacci” an itallian mathematician.

28
New cards

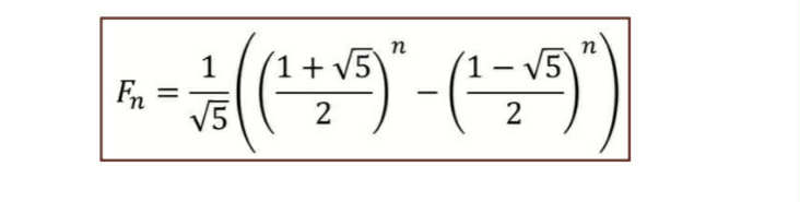
FIBONACCI NUMBER GENERAL FORMULA

knowt flashcard image
29
New cards

GOLDEN RATIO

based on Divine Proportion, the measurements of the Divine Proportion will look aesthetically pleasing.

<p>based on Divine Proportion, the measurements of the Divine Proportion will look aesthetically pleasing.</p>
30
New cards

GEOMETRY

fundamental science of forms and their order. It ensures the right proportions or using the golden ratio produces a well balanced furniture design.

31
New cards

GEOMETIRC FIGURES

forms and transformation build the material of architectural design.

32
New cards

GEOMTERIC PATTERNS

combine different shapes whether a repeated or altered to create a cohesive design.

33
New cards

ISOMETRY

in two parts Iso means same and metry means meter or measure, it is a transformation without a change  to a figure’s shape or size.

34
New cards

TRANSFORMATION

means change

35
New cards

TRANSLATION

move a shape in each direction by sliding it up, down, sideways or diagonally.

36
New cards

REFLECTION

without changing shape and size by flipping it along the reflection line creating a mirror image of it.

37
New cards

ROTATION

rotated about a fixed point (center of rotation) through a given angle.

38
New cards

DILATION

resized by scale factor about point

39
New cards

ROSSETE PATTERNS

consist of taking a motif or an element and rotating and/or reflecting that element.

40
New cards

FRIEZE PATTERNS

infinitely long strip imprinted with a design given by a repeating pattern motif.

41
New cards

WALLPAPER PATTERNS

covers the plane and can be mapped onto itself by translation in more than one direction.

42
New cards

TESSELLATIONS PATTERNS

when we cover a surface with pattern of flat shapes fitted together so that there are no overlaps or gaps.

43
New cards

M.C. ESCHER

famous tessellation artist Netherlands.

44
New cards

CHARACTERISTICS OF LANGUAGE OF MATHEMATICS

precise, concise, powerful.

45
New cards

IF ITS A NOUN/ SIMPLE EXPRESSION

  • Cavite, Book

  • 28, 4+3, 5>4

46
New cards

SENTENCE

  • DLSU-D is a prime University

  • x+y = z

47
New cards

CARDINAL

to express quantity

48
New cards

ORDINAL

to indicate order

49
New cards

NOMINAL

a label

50
New cards

GENERAL FERDINAND LUDWIG

was German mathematician. He created set theory.

51
New cards

SET

a well-defined collection of distinct objects.

52
New cards

LISTING

it has a curly brackets, Elements and Comma on repeat.

repea

53
New cards

SET BUILDER

Set of, All, such that, X less than four, Belongs to, Natural Numbers.

Na

54
New cards

VENN DIAGRAM

shows all possible logical relationships between a finite collection of different sets.

55
New cards

COMPLEMENT (n’)

subtracting the elements set from union, if the universal set is the numbers 1 through 8 and set A is the even numbers (2, 4, 6, 8), then the blank would be the odd numbers (1, 3, 5, 7). 

56
New cards

INTERSECTION ()

similar element in both set combined, The intersection of two sets, A and B, is the set of all elements that belong to both A and B.
In set-builder notation, this is written as: A ∩ B = {x | x ∈ A and x ∈ B} 

Example 1:

  • Set A = {2, 4, 6, 8} 

  • Set B = {4, 8, 12, 16, 20} 

  • A ∩ B = {4, 8} (because 4 and 8 are in both sets) 

57
New cards

UNION ()

combination of all similar elements from both sets, a fundamental set operation that creates a new set containing all elements from two or more original sets, combining them into a single set. if set A is {1, 2, 3} and set B is {3, 4, 5}, then the union of A and B (A ∪ B) is {1, 2, 3, 4, 5}, with the common element '3' appearing only once. 

58
New cards

CARDINAL NUMBER

refers to number of elements in a set.

59
New cards

EQUIVALENT SETS

Set that has the same cardinal number regardless of its same elements.

regardless of its element.

60
New cards

EQUAL SETS

Precisely the same elements

61
New cards

NULL SETS (Ø)

no elements

62
New cards

N (NATURAL NUMBERS)

the counting numbers, meaning they are the positive integers 1, 2, 3, and so on, extending infinitely

63
New cards

W (WHOLE NUMBERS)

the non-negative integers {0, 1, 2, 3, ...}, including zero and all positive counting numbers.

64
New cards

Z (INTEGERS)

a number that can be written without a fractional or decimal component, meaning it is a whole number that can be positive, negative, or zero.

65
New cards

Q (RATIONAL)

any number that can be expressed as a fraction p/q, where 'p' and 'q' are integers and 'q' is not zero, ncludes all whole numbers, integers, fractions, terminating decimals (like 0.5), and repeating decimals (like 0.333...).

66
New cards

Q’ IRRATIONAL

When written as decimals, they go on forever without a repeating pattern or a terminating point. 

67
New cards

R (REAL NUMBERS)

any numbers that can be found on a number line, and they encompass all rational numbers (integers, fractions, terminating decimals) and all irrational numbers (non-terminating, non-repeating decimals).

68
New cards

C (COMPLEX NUMBERS)

an extension of real numbers, written as a + bi, where 'a' is the real part, 'b' is the imaginary part, and 'i' is the imaginary unit defined as the square root of -1 (i² = -1).

69
New cards

subset

70
New cards

superset

71
New cards

NAUTILUS SHELL

the film Nature by Numbers, sea shell was used in the film to show the concept of Fibonacci spiral and golden ratio.

72
New cards

CRISTOBAL VILA

created the film" Nature by Numbers"

73
New cards

LOGICAL STATEMENT

a declarative sentence which conveys factual information. If the information is correct then we say the statement is true; and if the information is incorrect, then we say the statement is false

74
New cards

PROPOSITION

a statement that is either true or false (usually a declarative sentence.

75
New cards

SIMPLE STATEMENT

logical statement carrying one piece of information.

76
New cards

TRUTH VALUE

value indicating whether the proposition is known to be true / false, unknown, or a matter of opinion

77
New cards

UNIVERSALLY QUANTIFIED

If a logical statement applies to all objects in a collection. If every object in the collection fits the description, then the ——— statement is true

For example,

(1) Every McDonald’s serves french fries.

(2) All math majors study calculus.

78
New cards

EXISTENTIALLY QUANTIFIED

A logical statement which applies to some objects in a collection, _________ statement accurately describes at least one object in the collection, then it is true.

For example,

(1) Some people attend college.

(2) There are people who believe in UFO’s.

79
New cards

COMPOUND PROPOSITION

a complex logical statement formed by combining two or more simpler, atomic propositions using logical connectives such as "and," "or," "if...then," "not," or "if and only if"

80
New cards

LOGICAL OPERATIONS

combines propositions using a particular composition rule

81
New cards

TRUTH TABLE FOR COMPOUND PREPOSITION

If a compound proposition has n variables, there are 2^n rows

1. To fill in variable column, start with right-most variable column and fill in

alternation T and F pattern

2. Next column to the left, is filled by alternation TT and FF pattern

3. Next column to the left is filled in by alternating TTTT and FFFF pattern

4. For each new column to the left, the number of T’s and F’s in the pattern is

doubled

82
New cards

NEGATION

a new logical statement which says the opposite of the original statement. denoted by “¬”, reverses truth value of the proposition 

83
New cards

CONJUNCTION (^)

denoted by “”, similar to “AND” in boolean logic

84
New cards

DISCONJUNCTION (v)

denoted by “”, similar to “OR” in boolean logi

85
New cards

CONDITIONAL OR IMPLICATION (if - then, —>)

denoted by “” (p→q reads as “if p then q”)

- proposition is false if p is true and q is false, otherwise p → q is true

- p is called the hypothesis, and the proposition q is called the conclusion

- Broken down it is ¬p v q

86
New cards

CONVERSE

If the original statement is in the form "If P, then Q," the converse statement is "If Q, then P".

87
New cards

CONTRAPOSITIVE

formed by swapping the hypothesis and conclusion of a conditional statement AND negating both. For a statement "If P, then Q" (P → Q), its contrapositive is "If not Q, then not P" (¬Q → ¬P).

88
New cards

INVERSE

formed from a conditional statement by negating both the hypothesis and the conclusion, while keeping the original order of the parts. If a conditional statement is "If P, then Q" (P → Q), then its ——— statement is "If not P, then not Q" (¬P → ¬Q). 

89
New cards

BICONDITIONAL (if and only if, <—→)

denoted as “p q” or “p if q”, read as “p if and only if q”

- Proposition p q is true when p and q have the same truth value, and false when p and q

have different truth values

- Order of operations if no parentheses:

1. ¬, , and

2. → or

90
New cards

DE MORGANS LAW

logical equivalences that show how to correctly distribute a negation

operation inside a parenthesize expression

1. ¬(p q) (¬p ¬q

91
New cards

LOGICALLY EQUIVALENT

Two compound propositions are said to be …………… if they have the same truth value

in individual cases

92
New cards

CONTRADICTION

A compound proposition is a ……….. if the proposition is always false, regardless how many cases

93
New cards

TAUTOLOGY

A compound proposition is a ……….. if the proposition is always true, regardless how many cases

94
New cards

LAWS OF PROPOSITIONAL LOGIC

If two propositions are logically equivalent, then one can be substituted for the other within a more complex proposition

Explore top flashcards