1/13
Looks like no tags are added yet.
Name | Mastery | Learn | Test | Matching | Spaced | Call with Kai |
|---|
No analytics yet
Send a link to your students to track their progress
Derivatives of sinx, cosx, tanx
cosx
-sinx
sec²x
Derivatives of cscx, secx, cotx
-csc(x)cot(x)
sec(x)tan(x)
-csc²x
Derivative of af(x)
af(x) ln(a) f’(x)
Derivative of ef(x)
ef(x) f’(x)
Derivative of ln(f(x))
f’(x) / f(x)
Derivative of logax
1 / xln(a)
Derivative of f-1(x)
1 / f’(f-1(x))
Limit to f’(x)

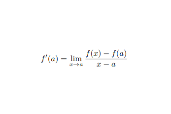
Limit to f’(a)

Differentiation rules

Implicit differentiation

Chain rule

Differentiation
d/dx kxn = knxn-1
Riemann sum
